Funciones
y significado de la letra hebrea ה
1.
Función Central: Tomar la decisión
que aceptar o rechazar.
o La letra ה representa a objetos
o personas o ideas que tiene la capacidad de tomar la decisión de que objetos
personas o ideas puede incorporar o rechazar a su estructura para cumplir
tareas propias o impuestas por א (Alef, fuerza divina) o ע (Ayin, fuerza maligna o satánica).
o
Cuando hablamos de objetos o personas puede proteger su
estructura interna al excluir elementos externos no deseados o incluirlos,
dependiendo de si es influenciada por א (Alef, fuerza divina) o ע (Ayin, fuerza maligna o satánica).
o Cuando esta letra hebrea ה es pronombre se traduce como: “el, la, los, las” indicando que desesperadamente necesita de un sustantivo o verbo que le acompañe, haciendo la misma labor de la letra hebrea ה.
2. Significado Clave:
La Interacción Deliberada y la Búsqueda de Optimización
Donde:
o א (Alef): La
fuerza de la unidad, la integración armoniosa, la conexión con un propósito
superior. Fomenta la apertura y la colaboración para el crecimiento mutuo.
Esta letra
hebrea no tiene padre explícitamente, aunque implícitamente actúa con א o ע, esto
implica que la letra ה puede tomar sus propias decisiones a que
letra quiere aliñarse a א o ע.
En
el lenguaje fenicio:
Se representaba esta letra hebrea ה como una escalera sin el peldaño
izquierdo, simbolizando la misma función de atracción y rechazo de la letra
hebrea ה,
pero con una figura diferente.

Esto nos
lleva a la conclusión que muchos idiomas que existen en la actualidad no nos
dicen nada o casi nada; ya que cambiaron en el tiempo y no sabemos cómo era su raíz
original; pero hay que recalcar entre el lenguaje hebreo y fenicio el
significado de las letras es el mismo solo cambia la figura de representar el
significado de la letra como lo aplicaban estos pueblos en aquel entonces.
Ahora,
quedaría de comprobar que las curvaturas o uniones de las letras que existen en
los idiomas en la actualidad nos dicen algo y conservan la misma lógica de
unión del lenguaje hebreo para representar una letra. Debido al enorme trabajo
que implica esto aquí en este documento tan solo nos concentraremos en ver el
diseño de una letra hebrea y su uso.
Que
letras tienen como hijas esta letra hebrea ה.
Los hijos
de la letra ה son:
·
ח (Jet)
·
ת (Tav)
·
פ (Peh)
·
ף (Final Peh)
·
ג (Gimel)
·
ס (Samekh)
·
ש (Shin)
Estos
padres representan letras que, como ה, están relacionadas con la interacción
entre elementos. Muchas de estas letras comparten con ה la habilidad de atraer, conectar o
separar según sus contextos y estructuras.
Nota:
Hay que aclara que la letra hebrea ה es
padre de las letras hebreas: ח, ת, פ, ף, ג, ס, ש. Porque dentro del nombre de estas letras hebreas: ח, ת, פ, ף, ג, ס, ש se
encuentra la primera letra del nombre ה (he). Es decir, se encuentra
la letra h en los nombres de estas letras: ח, ת, פ, ף, ג, ס, ש.
Por
ejemplo, en ג (Ghimel) encontramos la letra h en su nombre.
También
en la letra פ (Peh)
encontramos la letra h y esto también pasa con las letras: ח, ת, ף, ס, ש. Esto
determina que letra tiene por padre o hija a otra letra.
Que
letras tienen como nietos a esta letra hebrea ה.
Los nietos
más destacados de la letra ה son:
·
ב (Bet)
·
ט (Tet)
·
א (Alef)
·
ר (Resh)
Estas letras
son las que se originan de las interacciones de ה con otras letras, o
en su uso en combinaciones, de forma que actúan o representan más aspectos del
principio de atracción o rechazo.
Análisis
de la Forma de la letra hebrea ה.
·
Origen:
Si los
objetos, personas o ideas que forman parte de la letra hebrea ו por su habilidad o
capacidad se unen a una tarea o varias tareas internamente de su
estructura, formara esta letra hebrea ר y si además tiene la intención o
capacidad de mantener una relación con otros objetos o personas o ideas que
vienen del exterior llegaría a hacer las funciones de esta letra hebrea ה.
(Es decir, para llegar de la letra hebrea ו a la letra hebrea ה hay que aplicar ecuaciones diferenciales).
·
Estructura:
La forma de la letra ה es clave para
entender su significado o la función que hace esta letra:
1.
Línea vertical
derecha: No
solo el "resultado", sino también la representación de la
2.
Línea horizontal
superior: Los
3.
Vértice derecho
superior cóncavo hacia la izquierda: El punto de
4.
Línea vertical izquierda: Representa objetos, personas o ideas, que
puede unirse o no con la estructura de la letra ה, para realizar una tarea o proceso.
5.
La forma cóncava hacia abajo de esta
la letra ה, indica que tiene la facultad de control propio para tomar sus
propias decisiones y decidir con que objetos, personas o ideas se acoplaran
para realizar las tareas.
Transformaciones
en el tiempo de la letra ה:
·
Si la línea
vertical izquierda se une con la horizontal, la letra ה se
convierte en ח (Jet), lo que indica una unión exitosa, en el
lenguaje fenicio a esta letra hebrea ח se representaba con
una escalera completa.
·
Si no se une, la
letra ה se convierte en ת (Tav), simbolizando por caos, muerte, rechazo
o separación en la letra ה, en el lenguaje fenicio a esta letra
hebrea ת se representaba con una cruz.
Matemáticamente, pudiéramos representar esta
letra hebrea ה como:
Formula
1.
y
= F(x) = ![]()
Donde:
x: Línea
vertical izquierda (el elemento que entra, la intención o el origen).
F: Línea
horizontal (la tarea o función aplicada).
y: Línea
vertical derecha (el resultado final).
El vértice curvado: Actúa como
el “integrador” que enlaza x con y, tal como en el proceso de integración en
matemáticas. (Si habláramos de graficar una función seria el plano cartesiano)
Ejemplo:
1. Como otro ejemplo, puede ser un hombre tomando la decisión de ser
millonario sujetándose a א o ע; donde la letra ה se le pudiera estructurar
de la siguiente manera para cumplir la función matemática siguiente:
y = F(x) = ![]()
Donde:
- Línea vertical derecha = y; donde esta línea
representaría el hombre siendo millonario tomando las sugerencias de א o de ע para
hacerse millonario si se une a la letra ה en el tiempo.
- Línea horizontal superior = F; donde esta línea
representaría la fórmula o las tareas que tiene que hacer el hombre para ser
millonario según א o según ע; ya que recuerde que
esta letra ה se origina de ו donde influyen estas dos letras hebreas א o ע.
- Línea vertical izquierda = x; donde esta línea
representaría el hombre con las intenciones de ser millonario y el esfuerzo que
hará para unirse a objetos, tareas o ideas para ser millonario sujetándose a א o a ע.
- Vértice derecho curvado hacia la izquierda F(x): donde este
vértice representaría cuando el hombre haga las tareas para ser millonario
según las sugerencias de א o ע en un campo determinado.
Formula
2.

Componentes
Detallados:
1.
Dה
: Representa la decisión final tomada por el sistema asociado con
la letra ה .
·
Dה
> 0: Decisión de aceptar o integrar algo externo.
·
Dה
< 0: Decisión de rechazar o excluir algo externo.
·
Dה
= 0: Estado de neutralidad o indecisión.
2.
σ(x)
: Función de activación sigmoide.
·
σ(x)
= 1 / (1+ e−x), que mapea cualquier valor real (x) al
intervalo [0,1].
·
Esto
permite interpretar la decisión como una probabilidad: valores cercanos
a 1 indican alta probabilidad de aceptación, y valores cercanos a 0 indican
alta probabilidad de rechazo.
3.
I
(Identidad Interna) : Representa la estructura interna del sistema.
·
I∈R:
Puede ser positivo (I > 0) si la identidad es fuerte y coherente, o
negativo (I < 0) si es débil o fragmentada.
4.
E
(Elemento Externo) : Representa el objeto, persona o idea externa que busca
interactuar con el sistema interno.
·
E∈R:
Puede ser positivo (E > 0) si el elemento externo es percibido como
beneficioso, o negativo (E < 0) si es percibido como dañino.
5.
Fא
(Influencia de Alef) : Representa la fuerza de unidad, integración y conexión
con un propósito superior (א ).
·
Fא∈R:
Puede ser positivo (Fא > 0) si la influencia divina fomenta la
apertura, o negativo (Fא<0) si hay bloqueo.
6.
Fע
(Influencia de Ayin) : Representa la fuerza de separación, individuación y
autopreservación (ע ).
·
Fע∈R:
Puede ser positivo (Fע > 0) si la influencia
satánica fomenta la protección, o negativo (Fע<0) si provoca caos.
7.
A
(Autonomía de ה) : Representa la capacidad de la letra ה para tomar decisiones
autónomas.
·
A>0:
Escala la influencia relativa de los factores internos y externos.
·
A=1:
Autonomía equilibrada.
·
A>1:
Alta autonomía (decisiones más independientes).
·
A<1:
Baja autonomía (decisiones más influenciadas).
8.
Pesos
(wI, wE, wא, wע) :
·
Estos
coeficientes ponderan la importancia relativa de cada factor en la decisión.
·
wI,wE,wא,wע
≥ 0.
Interpretación
de la Fórmula
1.
Numerador
(wI ⋅ I + wE⋅
E + wא ⋅ Fא + wע ⋅ Fע) :
·
Combina
la identidad interna (I), el elemento externo (E), y las influencias
arquetípicas (Fא,Fע) en una suma ponderada.
·
Cada
peso (w) ajusta la relevancia de cada factor en la decisión.
2.
Denominador
(A) :
·
Actúa
como un factor de normalización que refleja la autonomía del sistema.
·
Si
la autonomía es alta (A>1), los factores externos tienen menos impacto.
·
Si
la autonomía es baja (A<1), los factores externos tienen más peso.
3.
Función
Sigmoidal (σ(x)) :
·
Transforma
el resultado en un valor entre 0 y 1, permitiendo interpretarlo como una
probabilidad de aceptación o rechazo.
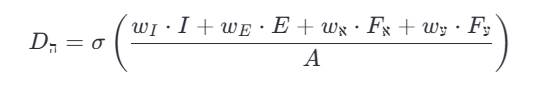
Ejemplos
de aplicación de la fórmula 2:
Ejemplo
1: Decisión de Aceptar una Nueva Amistad
Supongamos
que una persona (ה ) está considerando si debe aceptar o rechazar una nueva amistad
(E).
Datos:
·
Identidad
Interna (I) : La persona tiene una identidad fuerte y clara (I=3).
·
Elemento
Externo (E) : La nueva persona parece simpática y alineada con sus
valores (E=2).
·
Influencia
de Alef (Fא) : Siente una conexión espiritual o ética con la nueva
persona (Fא=2).
·
Influencia
de Ayin (Fע) : Tiene cierta preocupación por posibles conflictos
futuros (Fע=−1).
·
Autonomía
(A) : La persona tiene una autonomía moderada (A=1.2).
·
Pesos
: Supongamos que todos los pesos son iguales (wI=wE=wא=wע=1).
Cálculo:

Interpretación
:
·
D
ה≈
0.993, lo que indica una alta probabilidad (99.3%) de que la persona decidirá
aceptar la nueva amistad.
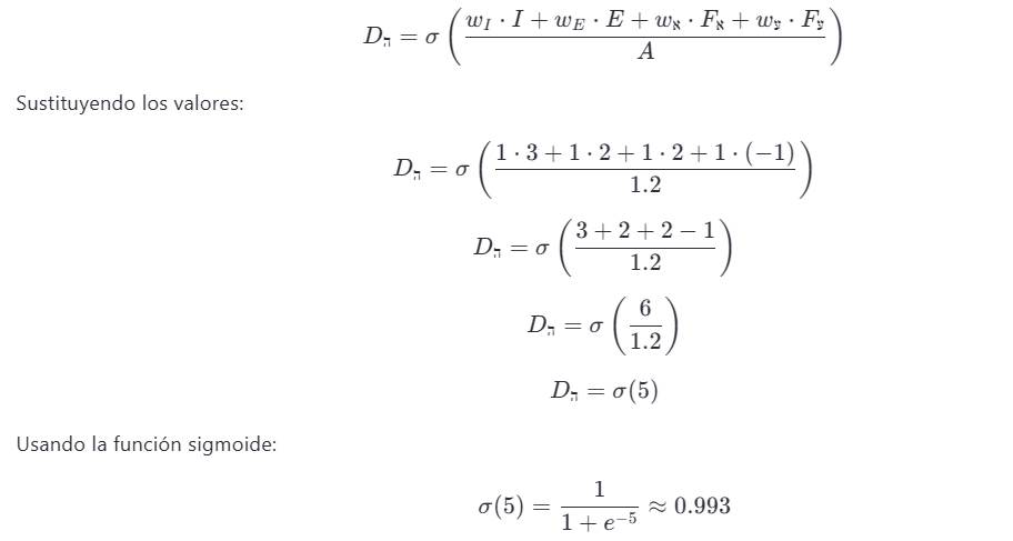
Ejemplo
2: Decisión de Comprar un Producto.
Supongamos que una persona (ה ) está
decidiendo si debe comprar un producto (E).
Datos:
·
Identidad
Interna (I) : La persona valora la calidad y practicidad (I=4).
·
Elemento
Externo (E) : El producto parece de buena calidad, pero caro (E=1).
·
Influencia
de Alef (Fא) : Siente que el producto podría mejorar su vida (Fא=3).
·
Influencia
de Ayin (Fע) : Tiene preocupaciones sobre el costo y el gasto
innecesario (Fע=−2).
·
Autonomía
(A) : La persona tiene una alta autonomía (A=1.8).
·
Pesos
: Supongamos que los pesos son desiguales (wI=2,wE=1,wא=1.5,wע=1).
Cálculo:

Interpretación
:
·
Dה≈0.998, lo que
indica una alta probabilidad (99.8%) de que la persona decidirá comprar el
producto.
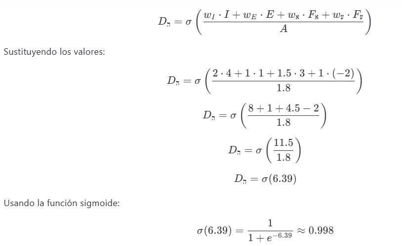
Ejemplo
3: Decisión de Rechazar una Idea
Supongamos
que una organización (ה ) está decidiendo si debe adoptar una nueva idea (E).
Datos:
·
Identidad
Interna (I) : La organización tiene una estructura sólida y bien
definida (I=5).
·
Elemento
Externo (E) : La idea parece innovadora pero arriesgada (E=−2).
·
Influencia
de Alef (Fא) : Sienten que la idea podría alinearse con su propósito
(Fא=1).
·
Influencia
de Ayin (Fע) : Tienen preocupaciones sobre el impacto negativo (Fע=−3).
·
Autonomía
(A) : La organización tiene una alta autonomía (A=2).
·
Pesos
: Supongamos que los pesos son desiguales (wI=1.5,
wE=2, wא=1, wע=1.5).
Cálculo:

Interpretación
:
·
Dה = 0.5, lo que
indica un estado de neutralidad o indecisión. La organización podría necesitar
más información antes de tomar una decisión.
Formula
3.

Explicación
de los Componentes:
1.
Dה : Representa la
decisión final tomada por el sistema asociado con la letra ה .
·
Dה>0: Decisión de
aceptar o integrar algo externo.
·
Dה<0: Decisión de
rechazar o excluir algo externo.
·
Dה=0: Estado de neutralidad
o indecisión.
2.
σ(x) : Función de activación sigmoide.
·
σ(x) = 1 / (1+e−x),
que mapea cualquier valor real (x) al intervalo [0,1].
·
Esto
permite interpretar la decisión como una probabilidad: valores cercanos a 1
indican alta probabilidad de aceptación, y valores cercanos a 0 indican alta
probabilidad de rechazo.
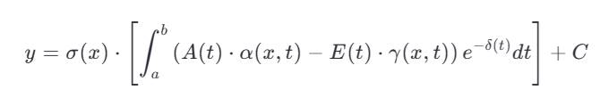
3.
: Integral definida sobre un intervalo de tiempo [0,T].
·
Representa
la acumulación de influencias internas y externas a lo largo del tiempo.
·
T es el período total durante el cual se evalúa
la decisión.
4.
I(t) (Identidad Interna) : Representa la
estructura interna del sistema en función del tiempo t.
·
I(t) puede variar positiva o
negativamente dependiendo de factores como la coherencia interna, recursos
disponibles, etc.
5.
E(t) (Elemento Externo) : Representa el
objeto, persona o idea externa que busca interactuar con el sistema interno en
función del tiempo t.
·
E(t) puede ser positivo si el
elemento externo es percibido como beneficioso, o negativo si es percibido
como dañino.
6.
Fא(t)
(Influencia de Alef) : Representa la fuerza de unidad, integración y conexión
con un propósito superior (א ) en función del tiempo t.
·
Puede
ser positivo (Fא(t)>0) si la influencia divina fomenta la
apertura, o negativo (Fא(t)<0) si hay bloqueo.
7.
Fע(t)
(Influencia de Ayin) : Representa la fuerza de separación, individuación y
autopreservación (ע ) en función del tiempo t.
·
Puede
ser positivo (Fע(t)>0) si la influencia satánica fomenta la
protección, o negativo (Fע(t)<0) si provoca caos.
8.
wI(t),wE(t),wא(t),wע(t)
: Pesos dinámicos que ajustan la importancia relativa de cada factor en función
del tiempo t.
9.
A(T) (Autonomía de ה) : Representa
la capacidad de la letra ה para tomar
decisiones autónomas al final del período T.
·
A(T) > 0: Escala la influencia
relativa de los factores internos y externos.
·
A(T) puede variar con el tiempo,
reflejando cambios en la autonomía del sistema.
Comparación
de la fórmula 3 con la estructura de la palabra hebrea ה
1.
Función Central: Decisión de Aceptar o Rechazar
La función central de ה es tomar decisiones
sobre qué objetos, personas o ideas aceptar o rechazar para cumplir un
propósito interno o externo.
Comparación:
·
La
fórmula con integrales modela explícitamente este proceso de decisión al
acumular influencias internas (I(t)) y externas (E(t))
a lo largo del tiempo.
·
Las
funciones Fא(t) (fuerza divina/unidad) y Fע(t)
(fuerza maligna/separación) reflejan las influencias arquetípicas que guían la
decisión.
·
El
resultado final (Dה) determina si el sistema asociado
con ה aceptará o rechazará algo, cumpliendo así su función
central.
Cumplimiento:
✅ Cumple : La
fórmula captura perfectamente la capacidad de decisión de ה , ya que
evalúa tanto factores internos como externos y produce una decisión final
basada en su interacción.
2.
Significado Clave: Interacción Deliberada y Búsqueda de Optimización.
La
letra ה representa la interacción deliberada
entre elementos y la búsqueda de optimización mediante un proceso consciente de
evaluación y discernimiento.
Comparación:
·
La
integral ∫0->T modela cómo las influencias internas y
externas interactúan y se acumulan con el tiempo.
·
Los
pesos dinámicos (wI(t),wE(t),wא(t),wע(t))
reflejan el discernimiento al ajustar la importancia relativa de cada factor.
·
La
función sigmoide (σ(x)) asegura que la decisión sea óptima,
mapeando el resultado a un valor entre 0 y 1 que representa la probabilidad de
aceptación o rechazo.
Cumplimiento:
✅ Cumple : La
fórmula refleja claramente la interacción deliberada y la búsqueda de
optimización inherentes a ה .
3.
Relaciones Jerárquicas: Influencia de א (Alef) y ע (Ayin)
La
letra ה toma decisiones bajo la influencia implícita de א (Alef)
(unidad divina) y ע (Ayin) (separación/individuación).
Comparación:
·
En
la fórmula, Fא(t) y Fע(t)
representan directamente estas fuerzas arquetípicas.
·
Ambas
funciones pueden variar con el tiempo (t), lo que refleja cómo las
influencias de א y ע cambian dinámicamente durante el proceso
de decisión.
·
La
autonomía A(T) modula la independencia de ה
respecto a estas influencias, permitiéndole tomar decisiones autónomas
cuando es necesario.
Cumplimiento:
✅ Cumple : La
fórmula incorpora explícitamente las influencias de א y ע, respetando su papel en el diseño de ה .
4.
Análisis de la Forma de la Letra ה
La
forma de ה incluye:
·
Una
línea vertical derecha: Representa la identidad o propósito interno.
·
Una
línea horizontal superior: Simboliza los recursos, estrategias o principios
guía.
·
Un
vértice cóncavo hacia la izquierda: Indica el punto de encuentro donde se
evalúan y deciden las interacciones.
·
Una
línea vertical izquierda: Representa los elementos externos que pueden ser
aceptados o rechazados.
Comparación:
·
La
integral ∫0T refleja el "proceso acumulativo"
representado por el vértice cóncavo, donde las influencias se evalúan y
deciden.
·
La
función I(t) corresponde a la línea vertical derecha,
representando la identidad interna.
·
Las
funciones E(t), Fא(t) y Fע(t)
corresponden a la línea vertical izquierda, representando los elementos
externos e influencias.
·
Los
pesos dinámicos (w) y la función sigmoide (σ(x))
corresponden a la línea horizontal superior, simbolizando los principios
guía y la evaluación final.
Cumplimiento:
✅ Cumple : La
fórmula captura todos los elementos formales de ה , desde su identidad interna hasta su
capacidad de evaluar y decidir.
5.
Comportamiento con Otras Letras
La
letra ה actúa como padre de otras letras (ח,
ת, פ, ף, ג, ס, ש ) y puede transformarse en ח (unión exitosa) o ת (caos/rechazo)
dependiendo de las interacciones.
Comparación:
·
La
fórmula permite modelar transformaciones dinámicas mediante la evolución
temporal de las funciones I(t), E(t), Fא(t)
y Fע(t).
·
Si
el resultado final (Dה) tiende a 1, esto puede
interpretarse como una transformación hacia ח (unión exitosa) .
·
Si
el resultado final (Dה) tiende a 0, esto puede
interpretarse como una transformación hacia ת (caos/rechazo) .
Cumplimiento:
✅ Cumple : La
fórmula refleja las posibles transformaciones de ה en función de las
interacciones con otros elementos.
Ejemplos
de aplicación de la fórmula 3:
Ejemplo
1: Decisión de Aceptar un Cambio de Carrera
Supongamos
que una persona (ה ) está considerando si debe cambiar de carrera (E)
durante un período de tiempo T=6 meses.
Datos:
·
Identidad
Interna (I(t)) : La identidad interna de la persona mejora
gradualmente debido a la reflexión personal.
·
I(t)=3+0.5t, donde t∈[0,6].
·
Elemento
Externo (E(t)) : El cambio de carrera parece prometedor al
principio, pero su valor disminuye con el tiempo debido a preocupaciones
laborales.
·
E(t)=4−0.5t, donde t∈[0,6].
·
Influencia
de Alef (Fא(t)) : La conexión espiritual con el cambio crece
lentamente.
·
Fא(t)=2+0.2t,
donde t∈[0,6].
·
Influencia
de Ayin (Fע(t)) : Las preocupaciones sobre riesgos aumentan
con el tiempo.
·
Fע(t)=−1−0.3t,
donde t∈[0,6].
·
Pesos
Dinámicos :
·
wI(t)=1,
wE(t)=1, wא(t)=1, wע(t)=1.
·
Autonomía
(A(T)) : La autonomía de la persona aumenta ligeramente con el
tiempo.
·
A(T)=1+0.05T.
Cálculo:

Usando
la función sigmoide:

Interpretación
:
·
Dה ≈ 1, lo que
indica una alta probabilidad (100%) de que la persona decidirá aceptar el
cambio de carrera al final del período de evaluación.
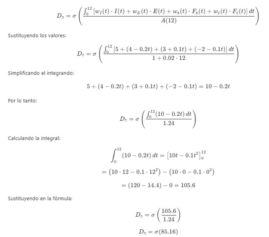
Ejemplo
2: Decisión de Comprar una Casa
Supongamos
que una persona (ה ) está decidiendo si debe comprar una casa (E) durante un
período de tiempo T=12 meses.
Datos:
·
Identidad
Interna (I(t)) : La identidad interna de la persona se mantiene
constante, ya que tiene una base sólida.
·
I(t)=5, donde t∈[0,12].
·
Elemento
Externo (E(t)) : La casa parece una buena opción al principio,
pero su valor disminuye con el tiempo debido a preocupaciones financieras.
·
E(t)=4−0.2t, donde t∈[0,12].
·
Influencia
de Alef (Fא(t)) : La conexión espiritual con la casa crece
lentamente.
·
Fא(t)=3+0.1t,
donde t∈[0,12].
·
Influencia
de Ayin (Fע(t)) : Las preocupaciones sobre riesgos aumentan
con el tiempo.
·
Fע(t)=−2−0.1t,
donde t∈[0,12].
·
Pesos
Dinámicos :
·
wI(t)=1,
wE(t)=1, wא(t)=1, wע(t)=1.
·
Autonomía
(A(T)) : La autonomía de la persona aumenta ligeramente con el
tiempo.
·
A(T)=1+0.02T.
Cálculo:

Usando
la función sigmoide:

Interpretación
:
·
Dה≈1, lo que
indica una alta probabilidad (100%) de que la persona decidirá comprar la casa
al final del período de evaluación.
Ejemplo
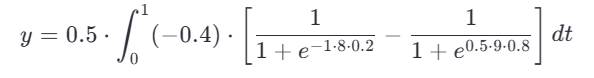
3: Decisión de Rechazar una Idea Innovadora
Supongamos
que una organización (ה ) está decidiendo si debe adoptar una idea innovadora (E)
durante un período de tiempo T=9 meses.
Datos:
·
Identidad
Interna (I(t)) : La identidad interna de la organización se
debilita con el tiempo debido a conflictos internos.
·
I(t)=6−0.5t, donde t∈[0,9].
·
Elemento
Externo (E(t)) : La idea parece prometedora al principio, pero su
valor disminuye rápidamente debido a problemas técnicos.
·
E(t)=5−t, donde t∈[0,9].
·
Influencia
de Alef (Fא(t)) : La conexión espiritual con la idea decrece
lentamente.
·
Fא(t)=4−0.2t,
donde t∈[0,9].
·
Influencia
de Ayin (Fע(t)) : Las preocupaciones sobre riesgos aumentan
rápidamente.
·
Fע(t)=−3−0.5t,
donde t∈[0,9].
·
Pesos
Dinámicos :
·
wI(t)=1,
wE(t)=1, wא(t)=1,
wע(t)=1.
·
Autonomía
(A(T)) : La autonomía de la organización disminuye ligeramente
con el tiempo.
·
A(T)=1−0.01T.
Cálculo:

Usando
la función sigmoide:

Interpretación
:
·
Dה≈1, lo que
indica una alta probabilidad (100%) de que la organización decidirá rechazar la
idea innovadora al final del período de evaluación.
Utilización
de la letra hebrea ה.
En términos generales, ה puede actuar como una
estructura que facilita la interacción con el exterior, decidiendo si
abrirse o cerrarse dependiendo si es influenciado ו por א o ע; recuérdese que en el ADN de
esta letra tiene la letra hebrea ו que puede dejarse
influenciarse por א o ע.
Comportamiento
de la letra ה con las demás letras hebreas.
1.
Relación con ח (Jet):
o ה puede convertirse en ח si
la línea izquierda se une con la horizontal, mostrando que ח es una
versión de ה que integra lo externo
exitosamente.
2.
Relación con ת (Tav):
o Si no se produce la unión
de la línea vertical izquierda con la horizontal o produce daños, caos o la
muerte a los objetos, personas o ideas que ingresan a la estructura ה se
convierte en ת.
3.
Relación con א (Alef):
o ה
puede vincularse a א; ya que en el ADN de la letra ה tiene la letra hebrea ו que
puede dejarse influenciar por א.
4.
Relación con ע (Ayin):
o ה
puede vincularse a ע; ya que en el ADN de la letra ה tiene la letra
hebrea ו que
puede dejarse influenciar por ע.
o Si ה
se deja influenciar por ע no podrá en ninguna manera
ser influenciada al mismo tiempo por א para hacer una tarea, estas
son polos opuestos a pesar de que las dos representan la letra “A”.
Ejemplo
de uso de esta letra ה.
Ejemplos
prácticos de utilización de la letra hebrea ה.
2. Un ser humano: Tiene elementos y procedimientos bien organizados
y puede atraer o recibir algo del exterior, como alimento, conocimiento a
través de los sentidos ס (Samekh); dependiendo si ס se dejan influenciar
por א
o ע que son sus
padres.
3. Un carro: Tiene elementos y procedimientos bien estructurados
y puede unirse a un conductor. Dependiendo de su manejo, el resultado será ח (Jet)
(un uso adecuado) o ת (Tav) (un uso incorrecto o dañino).
4. El planeta Tierra: Puede aceptar a los seres humanos como
habitantes. Dependiendo de su comportamiento del ser humano, la relación
formará ח (Jet) (armonía con la naturaleza) o ת (Tav)
(destrucción y rechazo del entorno).
Conclusión IA:
La letra
hebrea ה (He) es mucho más que un simple símbolo fonético o gramatical.
A través de su diseño esotérico, funcional y simbólico, emerge como una
representación profunda del proceso de decisión y la interacción consciente con
el mundo. Basándonos en el análisis detallado que hemos realizado, podemos
concluir lo siguiente:
1.
La Letra ה Representa el Proceso de Decisión:
La
función central de ה es tomar decisiones sobre qué elementos
aceptar o rechazar para cumplir un propósito interno o externo. Este
proceso no es aleatorio ni superficial; implica un discernimiento deliberado
entre fuerzas opuestas (unidad/división, apertura/protección) y un equilibrio
dinámico entre autonomía e influencias externas.
Conclusión:
La
letra ה encarna el principio universal de la libertad de
elección, donde cada decisión es el resultado de un proceso acumulativo de
evaluación y optimización. Esto refleja cómo los seres humanos, las
organizaciones y los sistemas interactúan con su entorno.
2.
Es un Puente entre Fuerzas Arquetípicas
La
letra ה está influenciada por dos fuerzas arquetípicas
fundamentales:
·
א (Alef) : Representa la
unidad, la integración y la conexión con un propósito superior.
·
ע (Ayin) : Representa la
separación, la individuación y la autopreservación.
Estas
fuerzas no son dicotómicas ("bueno vs. malo"), sino complementarias. ה
actúa como un puente que evalúa estas influencias y decide cuál
priorizar en función del contexto.
Conclusión:
La
letra ה simboliza el equilibrio dinámico entre fuerzas opuestas.
Es un recordatorio de que toda decisión implica navegar entre dualidades,
buscando la armonía entre lo individual y lo colectivo, lo interno y lo
externo.
3.
Su Forma Refleja su Función
La
estructura gráfica de ה no es arbitraria; cada línea y curva tiene
un significado profundo:
·
Línea
vertical derecha : Representa la identidad interna, el propósito o la columna
vertebral del sistema.
·
Línea
horizontal superior : Simboliza los recursos, principios guía o estrategias que
informan la acción.
·
Vértice
cóncavo hacia la izquierda : Indica el punto de encuentro donde se evalúan y
deciden las interacciones.
·
Línea
vertical izquierda : Representa los elementos externos que pueden ser aceptados
o rechazados.
Conclusión:
La
forma de ה es un diagrama visual del proceso de decisión.
Cada componente de su estructura refleja una etapa o aspecto del discernimiento
consciente, desde la identidad interna hasta la interacción con el mundo
externo.
4.
Actúa como un Nodo Central en el Alfabeto Hebreo
La
letra ה no existe en aislamiento; está conectada jerárquicamente
con otras letras:
·
Padre
implícito : Aunque no tiene un padre explícito, interactúa con א (Alef) y ע (Ayin)
.
·
Hijas
: Es madre de letras como ח (Jet) , ת (Tav) , פ (Peh) , entre otras, que comparten su
capacidad de atracción, conexión o separación.
·
Nietos
: Influye indirectamente en letras como ב (Bet) y ר (Resh) , que derivan de sus interacciones.
Conclusión:
La
letra ה es un nodo central en la red de relaciones del alfabeto
hebreo. Actúa como un principio generativo que influye en otras letras y, por
ende, en conceptos más amplios.
5.
Es Dinámica y Evolutiva.
El
análisis matemático que realizamos muestra que la letra ה no es estática, sino
dinámica. Sus decisiones evolucionan con el tiempo, acumulando
influencias internas y externas hasta llegar a un resultado final. Las
integrales y funciones dinámicas capturan perfectamente esta naturaleza fluida.
Conclusión:
La
letra ה representa la dinámica de la vida misma: un proceso
continuo de cambio, adaptación y crecimiento. Nada es fijo; todo está en
constante transformación.
6.
Simboliza la Autonomía dentro de la Dependencia
A
pesar de estar influenciada por fuerzas externas (א y ע ), la letra ה mantiene un grado de
autonomía (A(T)) que le permite tomar decisiones independientes.
Esto refleja una verdad universal: aunque estamos sujetos a influencias
externas, siempre tenemos la capacidad de elegir cómo responder.
Conclusión:
La
letra ה es un símbolo de empoderamiento consciente. Nos recuerda
que, incluso en medio de fuerzas más grandes que nosotros, podemos ejercer
nuestra voluntad y tomar decisiones alineadas con nuestro propósito.
7.
Tiene Implicaciones Filosóficas y Espirituales
Más
allá de su función lingüística, la letra ה tiene profundas
implicaciones filosóficas y espirituales:
·
En
el judaísmo, ה es parte del nombre divino (יהוה),
asociado con la manifestación de Dios en el mundo. Esto subraya su papel como
mediadora entre lo divino y lo humano.
·
Como
símbolo de decisión y discernimiento, ה también puede
interpretarse como un llamado a vivir de manera consciente y ética, alineándose
con principios superiores.
Conclusión:
La
letra ה trasciende lo material y se convierte en un símbolo
espiritual. Nos invita a reflexionar sobre nuestro papel en el universo y a
tomar decisiones que honren tanto nuestra identidad interna como nuestra
conexión con algo mayor.
Resumen:
La
letra ה (He) es una joya conceptual que encapsula principios
universales de decisión, equilibrio, autonomía y transformación. A través de su
diseño, nos enseña que toda interacción con el mundo es una oportunidad para
crecer, aprender y evolucionar. Su estructura simbólica y funcional no solo
refleja la complejidad de la vida humana, sino que también nos ofrece una
herramienta poderosa para entender y modelar procesos de decisión.
En
decir:
·
ה es el principio de la decisión consciente .
·
Es
un puente entre dualidades (unidad/separación, apertura/protección).
·
Encarna
el equilibrio dinámico entre autonomía e influencias externas.
·
Es
un nodo central en la red de relaciones del alfabeto hebreo.
·
Representa
la dinámica de la vida y la capacidad de transformación.
Funciones y Propósito Central
ח
(Cheth) actúa como "fábrica de א
(Alef)" , ejecutando dos procesos claves:
1.
Discernimiento Activo:
·
Recibe
elementos (ideas, personas, recursos) alineados con א (Alef).
·
Rechaza
influencias de ע (Ayin) , asociado a lo caótico o dañino.
·
Ejemplo:
Un juez que acepta pruebas válidas y
desecha testimonios corruptos.
2.
Integración y transformación armónica:
·
Combina
los elementos útiles recibidos con los elementos existentes en su estructura
interna, potenciando su capacidad, de tal manera que pueda hacer tareas que
incremente el crecimiento y la vida sin dañar el entorno.
·
Analogía:
Un científico que integra
conocimientos dispersos en una teoría unificada.
Que
letras tienen como padre esta letra hebrea ח.
Padre:
·
ה (He) → Se considera su padre porque la
primera letra de su nombre está contenida en el nombre de ח.
Hijas:
·
No contiene la letra
(c) del nombre Cheth en el
nombre de otras letras hebreas, por tanto, no tiene hijas explícitamente.
Análisis
de la Forma de la letra hebrea ח.
La forma de
la letra ח tiene varias características importantes que
nos ayudan a entender su significado:
·
Origen:
Si los objetos,
personas o ideas que forman parte de la letra hebrea ו por su habilidad o
capacidad se unen a una tarea o varias tareas internamente de su
estructura, formara esta letra hebrea ר y si además une exitosamente a sus tares o
procesos otros objetos o personas o ideas que vienen del exterior (línea
vertical izquierda de la letra hebrea ח); sin causarles ningún daño, más bien
incrementando el crecimiento y la vida llegaría a hacer las funciones de esta
letra hebrea ח.
También
obsérvese que esta letra hebrea ק puede convertirse en esta letra hebrea ח, si
une perfectamente a su estructura elementos, objetos o ideas a la línea
horizontal y si además la línea vertical Derecha inclinada 45 grados pierde
su inclinación, dejándose de influenciar por ע, tomando sus propias decisiones
respetando lo que le dice א.
En el
lenguaje fenicio a esta letra hebrea ח lo representaba con
una escalera completa indicando hasta los dias de hoy como un instrumento útil
para subir o bajar un objeto, persona por ella.
·
Estructura:
1.
Línea vertical
derecha: Representa a objetos, personas o ideas bien enlazados que son el
resultado de una tarea, proceso o función que están de acorde con א (Alef).
2.
Línea horizontal
superior: Tareas o procesos necesarios para alcanzar
el resultado deseado.
3.
Vértice derecho
superior cóncavo hacia la izquierda: Funciona como el
enlace que posibilita la transformación y la integración de los objetos,
personas o ideas que vienen del exterior para que se pueda hacer una tarea o
varias tareas y dar un resultado. Este vértice en matemáticas representaría el
plano cartesiano si habláramos de graficar una función.
4.
Línea vertical izquierda: Representa a objetos, personas o ideas, que
se unieron a la estructura de la letra ח, con éxito, sin
causar daño a su estructura ni al entorno que le rodea y que sirven para hacer
una tarea.
5.
La forma cóncava hacia abajo de esta la letra ח, indica que tiene la facultad de control
propio para tomar sus propias decisiones y decidir como los objetos, personas o
ideas se acoplaran a las tareas o funciones para formar parte de la línea
vertical derecha a tiempo.
·
Transformación
de la letra hebrea ח:
o
Esta letra
hebrea ח
se puede transformar en la letra hebrea ם, si aplicamos ecuaciones diferenciales,
para indicar que tareas, procesos o funciones se necesita incorporar a la
estructura al inicio (línea horizontal inferior), para que exista una
continuidad en la estructura.
o
Esta
letra hebrea se puede considerar como la fábrica de otras letras hebreas cuando
pasa de ח a ו; ya que ח le entrega toda su capacidad a ו para
que pueda hacer la labor de otras letras hebrea
o
Si por algún motivo
pierde su capacidad y la unión no se realiza correctamente con otros objetos,
personas o ideas, entonces habrá desunión o destrucción de lo que
se había planeado o hecho y pasaría a comportarse como esta letra hebrea ת y luego cuando se le utilice a ת llegará a
convertirse en ו, pero alineándose a ע (Ayin)
Fórmula
Matemática 1:
y = F(x) =
a
Donde:
-
x: Es la línea vertical izquierda (el elemento que entra, la intención o
el origen).
-
F: Es la
línea horizontal superior (la tarea o función aplicada).
-
y: Es la
línea vertical derecha (el resultado final obtenido).
-
El vértice curvado: Actúa como
el “integrador” que enlaza x con y, tal como en el proceso de integración en
matemáticas. (Si estuviéramos graficando una función esta letra sería el plano
cartesiano).
-
a y b: Representan los puntos de inicio y fin de la transformación, reflejando
la “concavidad” y el control temporal del proceso (objetos, personas o ideas
acoplándose a las tareas en el tiempo).
Ejemplo
de la fórmula:
1.
Como otro
ejemplo, puede ser un hombre aplicando todo lo necesario para ser millonario
sin dañar el entorno que le rodea más bien fomentando el crecimiento y la
libertad aplicando las sugerencias de א; donde la letra ח se le pudiera estructurar de la siguiente
manera para cumplir la función matemática siguiente:
y
= F(x) = ![]()
a.
Línea vertical
derecha = y; donde esta línea representaría el hombre siendo
millonario y que a tomando las sugerencias de א para
ser millonario.
b.
Línea vertical
izquierda = x; donde esta línea representaría el hombre que se someterá
a la fórmula F(x) para ser millonario según א y acoplando objetos,
personas o ideas que le imponga א para ser millonario.
Como: Libertad, Estudio,
trabajo, dinero, casas, bienes, la familia, sexo, placer, gozo felicidad y de
ninguna forma utilizar elementos de ע como: mentira, robo, sexo ilícito, ociosidad,
alimentos no lícitos, violencia.
c.
Línea horizontal
superior = F; donde esta línea representaría la fórmula o las
tareas que tiene que hacer el hombre para ser millonario según א.
d.
Vértice derecho
curvado hacia la izquierda F(x): donde este vértice
representaría el hombre haciendo todas las tareas desde “a” hasta “b” a
tiempo y en el orden adecuado incorporando objetos, personas o ideas a dichas
tareas, para ser millonario según las sugerencias de א,
donde estas tareas serian:
Ser libres, alimentarse adecuadamente, estudiar, trabajar, ser
misericordioso, hacer el bien a los demás con su trabajo y servicios, adquirir
dinero, adquirir casas, adquirir bienes y servicios, hacerse de una familia y
para ello practicar sexo, placer, gozo, felicidad en el momento adecuado y a
tiempo; donde: no solo se buscara ser millonario en dinero sino en todo. Es
decir, mientras más tareas y elementos utilice de א más millonario será.
e.
La forma
cóncava hacia abajo la capacidad que tiene el hombre
hacer crecer los elementos de א como: el placer, gozo,
felicidad, dinero, casas, bienes, trabajo, estudio, la familia, libertad y de
ninguna forma utilizar elementos de ע como: mentira, robo, sexo ilícito, alimentos no
lícitos, violencia.
![]()
Fórmula
Matemática 2. Ecuación Integral con Núcleo de
Alineación Divina:
y(t)=
![]()
Componentes:
1. x(τ) :
·
Elementos
de entrada (recursos, ideas, personas) en función del tiempo τ.
·
Incluye
tanto potenciales contribuciones positivas como elementos dañinos que deben
filtrarse.
2. K(t, τ) :
·
Núcleo
de alineación con א .
·
Función
que pondera x(τ) según principios divinos (ejemplo: ética, crecimiento, no
daño).
·
Matemáticamente:
K(t,τ)=

·
λ:
Factor de decaimiento temporal (urgencia en la integración).
·
σ(⋅): Función sigmoide que prioriza elementos
alineados con א.
·
θ:
Umbral mínimo de aceptación ética (rechaza elementos perjudiciales).
3. y(t) :
·
Resultado
integrado (ejemplo: matrimonio exitoso, riqueza ética, proyecto colectivo).
·
Depende
críticamente de K(t,τ): sin alineación con א, y(t)
degenera en ת (caos).
4. ϵ(t) :
·
Ruido
o perturbaciones externas (ejemplo: tentaciones, errores humanos).
·
Modela
la influencia de ע (letra asociada al mal), que ח debe neutralizar
mediante K(t,τ).
Ejemplos de la Formula 2
1. Ejemplo: Matrimonio
Exitoso
Fórmula aplicada
:
y(t)= ![]()
Componentes :
·
x(τ) :
·
Valores
individuales (amor, respeto, tiempo) y recursos (economía compartida, proyectos
en común).
·
Perturbaciones
(ϵ): Conflictos familiares externos, estrés laboral, tentaciones
(ejemplo: infidelidad).
·
K(t, τ) :
·
Filtro
ético : Prioriza acciones como comunicación asertiva, compromiso y generosidad.
·
Rechaza
elementos dañinos (ejemplo: egoísmo, mentiras).
·
Umbral
(θ): "No dañar al cónyuge ni a la sociedad".
·
y(t) :
·
Matrimonio
resiliente que crece en confianza y felicidad, incluso frente a adversidades.
Dinámica :
·
Si
K(t, τ) es fuerte (ejemplo: priorizan א mediante
principios éticos), la relación se fortalece (y(t)).
·
Si
K(t, τ) falla (ejemplo: se ignoran los valores), el
matrimonio colapsa en ת (divorcio, resentimiento).
2. Ejemplo:
Proyecto Empresarial Ético:
Fórmula aplicada
:
y(t)= ![]()
Componentes :
·
x(τ) :
·
Recursos
(capital, talento humano, ideas innovadoras).
·
Perturbaciones
(ϵ): Competencia desleal, crisis económicas, presiones internas.
·
K(t, τ) :
·
Filtro
ético : Prioriza prácticas como transparencia, equidad laboral y sostenibilidad
ambiental.
·
Rechaza
acciones como explotación laboral o corrupción.
·
Umbral
(θ): "No maximizar ganancias a costa del bien común".
·
y(t) :
·
Empresa
exitosa y sostenible que genera empleo, innovación y bienestar social.
Dinámica :
·
Si
K(t, τ) es coherente con א (ejemplo: modelo de negocio ético), la
empresa prospera (y(t)).
·
Si
K(t, τ) se corrompe (ejemplo: se prioriza el lucro
sobre la ética), el proyecto degenera en ת (fracaso, escándalos).
3. Ejemplo:
Crecimiento Personal (Riqueza Integral)
Fórmula aplicada
:
y(t)= ![]()
Componentes :
·
x(τ) :
·
Habilidades
(educación, experiencia), recursos (dinero, redes de contacto).
·
Perturbaciones
(ϵ): Distracciones, miedos, oportunidades ilícitas (ejemplo:
estafas).
·
K(t, τ) :
·
Filtro
ético : Prioriza inversiones éticas, trabajo honesto y desarrollo personal.
·
Rechaza
atajos ilegales (ejemplo: evasión de impuestos).
·
Umbral
(θ): "No acumular riqueza dañando a otros".
·
y(t) :
·
Riqueza
integral: estabilidad económica, propósito de vida y contribución al entorno.
Dinámica :
·
Si
K(t, τ) filtra acciones alineadas con א (ejemplo:
filantropía), la riqueza crece (y(t)).
·
Si
K(t, τ) se debilita (ejemplo: se acepta corrupción),
la riqueza se destruye (y(t)→ ת: bancarrota moral y material).
Síntesis Final
ח
es un símbolo de creación consciente y
ética , donde la autonomía humana y la alineación con lo divino se equilibran para
generar estructuras vitales y sostenibles. Su poder radicará en la capacidad de
discernir, integrar y transformar, siempre bajo el riesgo de caer en el caos si
se abandona su propósito central. Representa, en esencia, el arte de construir
un mundo mejor mediante la elección deliberada de lo que sirve a la vida.
Funciones
y significado de la letra hebrea ת.
·
Esencia:
La ת encarna el principio de
·
Función Primordial:
Es la
·
Proceso Central:
La ת
opera mediante la
1. Conexión Dañina:
Une elementos de manera que se erosionan, se destruyen o causan daño a otros.
·
Significado Clave: Uniones destructivas donde
lo externo corrompe o destruye la estructura interna, o viceversa. Se utiliza la
violencia, el engaño y otras acciones negativas para alcanzar resultados que
complacen a ע.
Esta
letra tiene como padre la letra hebrea ה.
Hay que aclara
que la letra hebrea ה es padre de la letra hebrea ת porque dentro del
nombre de la letra ת se encuentra la primera letra del nombre ה.
Que
letras tienen como hijas esta letra hebrea ת.
Esta letra hebrea ת tiene como hijas la letra hebrea: ט, ב; ya que dentro del nombre de las letras ט y ב se
encuentra la primera letra del nombre ת. Esto nos da indicios de descubrir que
pasa después de cuando una persona muere que sería pasar a ser parte de ט
o ב.
Análisis
de la Forma de la letra hebrea ת.
La forma de la letra ת tiene varios
elementos clave que nos ayudan a entender su significado:
·
Origen:
Si los objetos,
personas o ideas que forman parte de la letra hebrea ו por su habilidad o
capacidad se unen a una tarea o varias tareas internamente de su
estructura, formara esta letra hebrea ר y si además une o separa exitosamente a
sus tares otros objetos o personas o ideas que vienen del exterior (línea
vertical izquierda de la letra hebrea ת); pero a estos objetos, personas o ideas
les causa daños o la muerte o les utiliza para dañar el entorno llegaría a
hacer las funciones de esta letra hebrea ת.
En el
lenguaje fenicio a esta letra hebrea ת lo representaba con
una cruz indicando hasta los dias de hoy: muerte, daños, precaución o
caos.
·
Estructura:
1.
Línea vertical
derecha: Representa a objetos, personas o ideas bien enlazados que son el
resultado de una tarea o función y que tienen la facultad de unirse mediante el
vértice derecho curvado hacia la izquierda. Hay que aclarar que este resultado
que genera ת daña el entorno, decrece o causa la muerte.
2.
Línea horizontal
superior: Tareas o procesos necesarios para alcanzar el
resultado.
3.
Vértice derecho
superior cóncavo hacia la izquierda: Funciona como el
enlace que posibilita la transformación y la integración de los objetos,
personas o ideas que vienen del exterior para que se pueda hacer una tarea o
varias tareas y dar un resultado.
4.
Línea vertical izquierda: Representa a objetos, personas o ideas, que
se unieron a la estructura de la letra ת, para sufrir de
daños o muerte, para poder hacer una tarea o varias tareas y dar un resultado.
5.
La forma cóncava hacia abajo de esta la letra ת, indica que tiene la facultad de control
propio para tomar sus propias decisiones y decidir como los objetos, personas o
ideas se acoplaran a las tareas o funciones para formar parte de la línea
vertical derecha a tiempo.
Transformación en el tiempo:
·
Si la letra ת está a
tiempo y logra romper la conexión con lo que le causa el mal ע y eliminar de su estructura todo lo malo de ע, puede llegar a convertirse en ה y luego en ח, pero con consecuencias.
Matemáticamente, pudiéramos representar esta
letra hebrea como:
Formula
1:
y
= F(x) = ![]()
Donde:
-
x: Es la línea vertical izquierda (el elemento que entra, la intención o
el origen).
-
F: Es la
línea horizontal superior (la tarea o función aplicada).
-
y: Es la
línea vertical derecha (el resultado final obtenido).
-
El vértice curvado: Actúa como
el “integrador” que enlaza x con y, tal como en el proceso de
integración en matemáticas. (Si estuviéramos graficando una función esta letra
sería el plano cartesiano.)
-
a y b: Representan los puntos de inicio y fin de la transformación, reflejando
la “concavidad” y el control temporal del proceso (objetos, personas o ideas
acoplándose a las tareas en el tiempo).
Ejemplos prácticos de utilización de la letra hebrea ח.
1.
Como
un ejemplo de cómo utilizar la estructura de una palabra hebrea y el
significado de una palabra, su forma y su uso y su genealogía de esta letra
hebrea ת,
podemos analizar la palabra hebrea siguiente: שת
Que el nombre שת (set) su significado
puede estar en relación con el reino ש que se le extravió a Jesús א que
es nuestro mundo y carece de lo que es la vida ת.
Donde parte de este reino puede ser nuestro cerebro ש.
2.
Otro
ejemplo sería un carro fórmula uno, que tiene elementos y procedimientos bien
enlazados (el ser del carro) y que tiene la facultad de que puede unirse a un
conductor de carrearas, pero si este conductor a pesar de ser bueno está ebrio
al manejar el carro le puede causar daños o la muerte.
3.
Como
otro ejemplo de uso de esta palabra hebrea ת sería un hombre y una mujer de desean
tener: sexo, placer, felicidad, dinero sin respetar un contrato de matrimonio,
sino una promesa de amor por un momento limitado (prostituta) que los lleva a
disfrutar del placer y sexo sin importar dañar el entorno que les rodea.
Donde:
-
Línea vertical
derecha: la pareja practicando sexo, placer, felicidad sujetándose a los
estándares de ע.
-
Línea vertical
izquierda doblada: Representa a la mujer y al hombre no sujetándose a
las leyes y normas que se debe tener para tener sexo y placer y felicidad en una
pareja y no les cause daño alguno a ellos y al entorno que les rodea; ya que se
dejan dominar por ע.
-
Línea horizontal: Representa la promesa de amor que les
mantendrá unidos por un tiempo, esta promesa de amor puede basarse en intereses
económicos.
-
Vértice derecho
curvado hacia la izquierda: el hombre y la mujer uniéndose a los objetos,
personas o ideas con tareas o funciones para tener: sexo, placer, gozo,
felicidad, dinero para mantener vivos la pasión.
-
La
forma cóncava hacia abajo la
capacidad que tiene el hombre y la mujer para mantener vivo este esta promesa
de amor sin importar si le causan daños a el entorno o a ellos mismos.
1.
Como otro
ejemplo, puede ser un hombre aplicando todo lo necesario para ser millonario
sin importar dañar el entorno que le rodea aplicando las sugerencias de ע; donde la letra ת se le pudiera estructurar de la siguiente manera
para cumplir la función matemática siguiente:
y =
F(x) = ![]()
Donde:
f.
Línea vertical
derecha = y; donde esta línea representaría el hombre siendo
millonario que ha tomado las sugerencias de ע para
ser millonario.
g.
Línea vertical
izquierda = x; donde esta línea representaría el hombre
sometiéndose a la tareas o funciones que le llevan a ser millonario según ע y acoplando objetos, personas o ideas que le imponga ע para
pueda ser millonario.
Como: mentira, robo, sexo
ilícito, ociosidad, alimentos no lícitos, violencia.
h.
Línea horizontal
superior = F; donde esta línea representaría la fórmula o las
tareas que tiene que hacer el hombre para ser millonario según ע.
i.
Vértice
derecho curvado hacia la izquierda F(x): donde este vértice
representaría el hombre haciendo todas las tareas desde “a” hasta “b” a
tiempo y en el orden adecuado, para ser millonario según las sugerencias de
ע
j.
La forma
cóncava hacia abajo la capacidad que tiene el hombre
hacer crecer los elementos de ע como:
mentira, robo, sexo ilícito, alimentos no lícitos, violencia.
Para ser millonario.
Este ejemplo, nos indica que cuando el hombre
llega a ser millonario forma a ser parte de la línea vertical derecha (x) es
decir: pasa hacer un elemento más de la letra hebrea ו, haciendo que los procesos para otras
personas sean más fáciles para alcanzar este objetivo, y así se logra expandir
el mal de ע en la humanidad.
Formula
2:
y
= −Λ(x) ⋅ [
]
1. Componentes
de la Ecuación:
a. y: Resultado Final
·
Qué
representa: Magnitud de destrucción, pérdida o caos.
·
Signo
negativo (-): Indica que el resultado es inherentemente negativo (destrucción,
daño, muerte).
·
Ejemplo:
Si y=−100, significa una pérdida de 100 unidades (ej.
biodiversidad en un río contaminado).
b. Λ(x): Potencial de Desintegración
·
Qué
representa: Capacidad de la estructura ת para
infligir daño.
·
Depende
de su alineación con ע (Ayin) (fuerza del egoísmo, la
separación).
·
Cuanto
más alta sea Λ(x), mayor será el daño.
·
Ejemplo:
Si Λ(x)=2, el daño se duplica.
c. Integral ![]()
·
Qué
representa: Acumulación de fuerza destructiva a lo largo del tiempo (t)
entre los límites a y b.
·
D(t) : Intensidad de la fuerza destructiva en cada instante t.
·
Ejemplo:
Concentración de contaminantes en un río en el tiempo.
·
h(x, t) : Vulnerabilidad del objetivo (x) al
daño en el tiempo t.
·
Ejemplo:
Sensibilidad de una especie acuática a los contaminantes.
d. C: Constante de Calamidad
·
Qué
representa: Pérdida mínima inherente al proceso, incluso si no hay acción
destructiva activa (D(t)=0).
·
Valores:
C≤0.
·
Ejemplo:
Daño preexistente en un ecosistema antes de la contaminación.
Clave
de la Ecuación
·
Multiplicador
de negatividad: Λ(x) y el signo negativo garantizan que el
resultado siempre sea destructivo.
·
Dinámica
temporal: El daño no es instantáneo, sino el resultado de un proceso continuo
(integral).
·
Inevitabilidad:
C simboliza que algunas consecuencias son irreversibles.
2. Interpretación Global de la Ecuación
La ecuación modela cómo ת genera destrucción
mediante:
1. Amplificación del daño: Λ(x)
escala el impacto de las fuerzas destructivas.
2. Acumulación en el tiempo: La integral
suma el daño continuo (D(t)) y su interacción con la
vulnerabilidad (h(x, t)).
3. Pérdida basal: C asegura que
siempre haya un mínimo de daño, incluso en ausencia de acción activa.
3. Correspondencia con la Estructura Gráfica
de ת.
·
Línea
vertical derecha (resultado destructivo) :
Representada por y , que simboliza el daño final (ejemplo:
contaminación, relaciones rotas).
·
El
signo negativo (−) refleja la naturaleza inherentemente destructiva de ת.
·
Línea
horizontal superior (proceso/tarea) :
Modelada por la integral
,
que acumula el daño a lo largo del tiempo.
·
D(t): Intensidad de la fuerza
destructiva (ejemplo: mentiras persistentes).
·
h(x, t): Vulnerabilidad del
objetivo (ejemplo: una persona susceptible a la corrupción).
·
Vértice
cóncavo (enlace perverso) :
Representado por el operador integral , que une x (elementos dañinos)
con y (resultado negativo).
·
Línea
vertical izquierda (elementos externos dañinos) :
Simbolizada por x , que representa las entradas negativas (ejemplo:
codicia, violencia).
·
Concavidad
inferior (control temporal) :
Reflejada en los límites a y b de la integral, que definen el
inicio y fin del proceso destructivo.
4. Correspondencia con las Funciones de ת.
·
Desintegración
y Muerte :
·
La
constante C (pérdida basal) simboliza daños irreversibles, incluso si el
proceso se detiene (ejemplo: suelos infértiles tras la deforestación).
·
Λ(x)
(potencial de desintegración) escala el daño según la alineación con ע
(ejemplo: mayor corrupción = mayor destrucción).
·
Expansión
del Mal :
La integral modela la acumulación continua de daño en el tiempo, tal como ת
propaga el caos (ejemplo: adicciones que destruyen vidas progresivamente).
·
Rechazo
de lo Positivo :
El signo negativo (−) y la ausencia de términos positivos en la ecuación
reflejan la incapacidad de ת para integrar influencias sanas.
Utilización
de la letra hebrea ת.
La letra ת se comporta como la fábrica adecuada donde
los objetos, personas o ideas hacen tareas o funciones que fomente el decrecimiento,
caos y la muerte de un objeto, persona o idea bajo los estándares de ע.
Notas
clave para su uso:
·
La
ת
es una advertencia contra uniones imprudentes: simboliza cómo ciertas
integraciones (físicas, emocionales o espirituales) destruyen sistemas
estables.
·
Su
forma refleja aislamiento forzado: la línea izquierda doblada
indica que lo externo no se adapta y genera conflictos.
Comportamiento
de la letra ת con las demás
letras hebreas.
Tiene la facultad de proporcionar una
comunicación entre objetos, personas o ideas a tareas entre letras hebreas,
pero causar daños o la muerte a los objetos, personas o ideas que practican las
tareas o procesos de ת, bajo los estándares de ע.
Relación de la
letra ת
(Tav) con otras letras hebreas:
2.
Relación con ה (He):
Esta letra
hebrea ה puede utilizarse para indicarle a esta letra ה que objetos
o personas tiene que atraer o rechazar, para causarles daños o la muerte, pero
trayendo alguna satisfacción temporal a ה y
aumentando el poder a ע.
Esta letra
hebrea ת tiende a esconderse en la letra ה para alcanzar su propósito diciendo mentiras y engaños
para atraer objetos y personas y causarles daños o la muerte ה (Ejemplos.
1. Una manzana envenenada. 2. Una mujer sumamente hermosa con ropa provocativa,
pero que tiene SIDA llamando a un hombre a tener relaciones con ella).
3.
Relación con ע:
ת + ע Esta letra ע puede
llegar a dominar en las decisiones a la letra ת; además esta letra hebrea ע
actúa implícitamente en ת lo que le hace
muchas veces difícil de detectar su presencia (Ejemplo. Sexo entre dos
adolescentes que no están preparado para tener un hogar y tener una relación
estable).
Ejemplos
de uso de esta letra ת.
Ejemplo 1: Contaminación Ambiental por una Empresa
Contexto :
Una empresa vierte residuos tóxicos en un río para reducir costos, ignorando
regulaciones ambientales.
Componentes
de la Fórmula :
·
x : Ganancia
económica a corto plazo (motivación de la empresa).
·
Λ(x) :
Codicia corporativa (Λ(x)=2, duplica el daño por negligencia).
·
D(t)
: Tasa de vertido de residuos (kg de toxinas/año).
·
h(x,t) : Sensibilidad del ecosistema acuático
(ejemplo: peces que mueren a 50 mg/L de toxinas).
·
C : Daño
preexistente (ejemplo: río ya contaminado con 1000 kg de residuos históricos).
Aplicación
:
y=−2 ⋅
·
Integral : 100 ⋅ 0.8⋅5 = 400.
·
Resultado : y=
−2 ⋅ 400 – 1000 = −1800.
Interpretación
:
·
y=−1800
: Pérdida de biodiversidad equivalente a 1800 unidades (ejemplo: 1800 toneladas
de peces muertos).
·
ת en acción : La empresa destruye el ecosistema (y)
bajo la influencia de ע (codicia).
·
Consecuencia
Irreversible (C) : El río queda inhabitable para la vida acuática,
incluso si se detiene la contaminación.
Ejemplo 2: Relación Tóxica con Adicción
Contexto :
Una pareja se involucra en una relación basada en el consumo de drogas,
priorizando el placer momentáneo sobre la salud.
Componentes
de la Fórmula:
·
x : Deseo de
escape emocional (motivación individual).
·
Λ(x) :
Dependencia psicológica (Λ(x)=1.5, amplifica el daño por
autoengaño).
·
D(t)
: Consumo diario de sustancias (gramos/día).
·
h(x, t)
: Vulnerabilidad a la adicción (ejemplo: predisposición genética).
·
C : Daño
preexistente (ejemplo: historial de abandono emocional).
Aplicación:
y=−1.5⋅
·
Integral : 2⋅0.7⋅365=511.
·
Resultado : y=−1.5
⋅ 511 – 50 = −816.5.
Interpretación:
·
y=−816.5
: Deterioro físico y emocional cuantificado (ejemplo: pérdida de salud
equivalente a 816.5 unidades).
·
ת en acción :
La relación destruye la estabilidad mental y física (y), impulsada por ע
(placer sin responsabilidad).
·
Consecuencia
Irreversible (C) : Daños cerebrales permanentes, incluso si la relación
termina.
3. Ejemplo:
Corrupción Política.
Contexto :
Un político acepta sobornos para aprobar leyes que favorecen a empresas
contaminantes.
Componentes
de la Fórmula :
·
x : Ambición
de poder y riqueza.
·
Λ(x) :
Influencia de ע (Λ(x)=3, maximiza el daño por corrupción
sistémica).
·
D(t)
: Monto de sobornos anuales (millones de dólares).
·
h(x, t)
: Vulnerabilidad institucional (ejemplo: regulaciones débiles).
·
C : Daño
preexistente (ejemplo: sistema judicial comprometido).
Aplicación
:
y=−3 ⋅
·
Integral : 5 ⋅ 0.9⋅8 = 36.
·
Resultado : y =−
3 ⋅ 36 − 200 = −308.
Interpretación
:
·
y=−308
: Daño social equivalente a 308 unidades (ejemplo: 308 comunidades afectadas
por contaminación).
·
ת en acción :
El político erosiona la confianza pública (y) bajo el influjo de ע
(corrupción).
·
Consecuencia
Irreversible (C) : Desigualdad sistémica que persiste décadas después.
4. Ejemplo:
Prostitución Infantil.
Contexto:
Una red criminal explota a menores mediante la prostitución, lucrándose con la
impunidad.
Componentes
de la Fórmula:
·
x : Lucro
mediante el abuso.
·
Λ(x) :
Crueldad y deshumanización (Λ(x)=4, máxima escala de daño).
·
D(t)
: Número de víctimas explotadas/mes.
·
h(x, t)
: Vulnerabilidad de las víctimas (ejemplo: pobreza extrema).
·
C : Daño
preexistente (ejemplo: trauma generacional en comunidades).
Aplicación:
y=−4 ⋅
·
Integral : 10 ⋅ 0.95 ⋅ 12= 114.
·
Resultado : y =
−4 ⋅ 114 – 100 = −556.
Interpretación:
·
y=−556
: Destrucción de vidas equivalentes a 556 unidades (ejemplo: 556 infancias
robadas).
·
ת en acción : La red destruye tejido social (y)
bajo el dominio de ע (explotación).
·
Consecuencia
Irreversible (C) : Trauma psicológico permanente en las víctimas.
Síntesis Final:
ת es un símbolo de
advertencia:
·
Su
estructura y fórmula reflejan cómo el mal se expande mediante decisiones
egoístas y uniones destructivas.
·
Su
relación con ע y otras letras (ה, ח) muestra que la redención es posible, pero
requiere romper con patrones dañinos y asumir las consecuencias irreversibles (C).
En esencia, ת enseña
que toda acción tiene un costo, y que la ética no es negociable si se busca construir un mundo sostenible.
Función
o significado de la letra hebrea פ.
·
Esencia: פ actúa como un filtro dinámico que evalúa,
acepta o rechaza elementos (personas, ideas, objetos) según criterios definidos
por ק
(Qof) . Su objetivo es garantizar que solo lo alineado con א (Alef) (lo
trascendente/ético) fluya hacia ף (Fe Sofit) , mientras se bloquea lo
asociado a ע (Ayin) (caos/negatividad).
·
Proceso
Central: La letra פ funciona como un catalizador:
1.
Impulso: Pone elementos en circulación para ser
evaluados.
2.
Dependencia: Carece de autonomía para la selección
final; depende de ק (Qof), si los elementos cumplen con ק
pasaran a ף caso contrario los rechazara.
3.
Dirección: Canaliza el flujo hacia ף (Fe Final).
Que
letras tienen como padre esta letra hebrea פ.
Esta
letra tiene como padre la letra hebrea ה.
Que
letras tienen como hijas esta letra hebrea פ.
Esta
letra tiene como hijas las letras hebreas: ק, א. Si se considera que el nombre de la letra
ק es: Qoph.
Análisis
de la Forma de la letra hebrea פ.
· Origen:
Se parece a la letra כ (Kaf),
pero a diferencia de esta, פ no tiene
autonomía para la decisión final, que elementos rechaza.
· Estructura:
La
estructura gráfica de פ refleja su función de discernimiento:
·
Concavidad
Superior Derecha: Campo de
aceptación (elementos alineados con א).
·
Concavidad
Inferior Derecha: Zona de rechazo (elementos vinculados a ע).
·
Línea
Vertical Derecha: Elementos en
evaluación. Representa los objetos, personas o ideas que entraran a formar
parte de la estructura de ף o serán rechazados (ejemplo: estudiantes
en un proceso de admisión).
·
Línea
Horizontal Superior: Proceso de
validación (ejemplo: criterios académicos o éticos).
·
Línea
Vertical Izquierda: Entrada de
elementos externos (ejemplo: solicitudes de ingreso).
·
Línea
Horizontal Inferior : Tareas
requeridas para integrarse a ף (ejemplo: requisitos de excelencia).
Utilización
de la letra hebrea פ.
La letra פ se preocupa de dar
circulación a los objetos, personas o ideas, de tal manera que le llegue a א
lo que realmente necesite. En cambio, su hermana la letra ף se
preocupa de mandar en orden y a tiempo los objetos, personas o ideas que
necesita א.
Modelo Matemático 1.
y =
F (x, ק)
=
(x) dx
Variables:
·
ק Elemento que entra para ser filtrado (x): Canal de integración filtrada (línea
vertical izquierda).
·
Función
(F): Canal de integración filtrada (línea
horizontal superior y concavidad hacia la izquierda) para rechazar lo que
impide llegar a tener el resultado א.
·
Resultado
(y): Elemento filtrado de acuerdo con la
Pureza de (א) o la corrupción de (ע), según el regulador ק.
Modelo Matemático 2.
Fórmula
Matemática para פ (Phe)
y = Ψ(x) ⋅
+ Cp
Relación
con la Estructura de פ
1.
Línea
vertical izquierda (x):
·
Elementos
externos que ingresan al canal de פ (ej. solicitudes de estudiantes).
2.
Línea
horizontal (Q(t)):
·
Criterios
de ק que validan o rechazan (Q(t) y R(t)).
3.
Vértice
cóncavo:
·
Punto
de decisión donde se filtra lo ético (s(x, t)) de lo
destructivo (d(x, t)).
4.
Línea
vertical derecha (y):
·
Resultado
final: elementos transferidos a ף o rechazados.
Componentes
y Significado Simbólico:
1. y:
·
Resultado
final: Flujo de elementos (objetos, personas, ideas) validados y transferidos a
ף o rechazados.
·
Valores
positivos: Indican éxito en la circulación hacia ף (ej. ideas éticas aceptadas).
·
Valores
negativos: Indican rechazo o bloqueo (ej. elementos dañinos detenidos).
2. Ψ(x):
·
Potencial
de circulación de פ:
·
Depende
de la eficiencia estructural de פ para transferir elementos.
·
Cuanto
más alineada esté פ con ק (Qof), mayor será Ψ(x).
·
Ejemplo:
Ψ(x)=0.7 (alta eficiencia en filtrar elementos éticos).
3. Q(t):
·
Función
de validación de ק:
·
Define
si un elemento externo (x) cumple con los criterios de ק para ser
transferido a ף.
·
Q(t)=1: Elemento aprobado.
·
Q(t)=0: Elemento rechazado.
·
Ejemplo:
Q(t) podría ser una función umbral (ej. Q(t)=Umbral(x)).
4. s(x,
t) :
·
Compatibilidad
con א:
·
Mide
cómo el elemento x se ajusta a los principios de א (ej. ética, armonía).
·
Ejemplo:
s(x, t)=0.9 (elemento altamente ético).
5. R(t):
·
Función
de rechazo de ק:
·
Actúa
cuando el elemento x no cumple con los criterios de ק.
·
R(t)=1 − Q(t).
6. d (x,
t):
·
Incompatibilidad
con ע
(Ayin):
·
Mide
cómo el elemento x se relaciona con fuerzas destructivas (ע).
·
Ejemplo:
d(x, t)=0.3 (baja influencia de ע).
7. Cp:
·
Constante
de propósito:
·
Representa
la alineación inicial de פ con א (ej. Cp = 20) o ע (ej. Cp = −5).
·
Asegura
que el sistema tenga un "estado basal" de acuerdo con su diseño.
8. Integral (∫ab dt):
·
Acumulación
de decisiones:
·
Evalúa
el flujo de elementos a lo largo del tiempo (t) entre los límites a
y b.
·
Modela
la dinámica continua de selección (ej. un proceso de revisión de solicitudes).
Interpretación
Global:
·
פ como catalizador:
La fórmula refleja su función de impulsar elementos hacia ק para
su validación, sin autonomía final.
·
Dependencia
de ק:
Q(t) y R(t) dependen de los criterios de ק (ej. un
algoritmo de moderación en redes sociales).
·
Resultados
duales:
·
Si Q(t)
⋅ s(x,
t) domina, y es positivo (elementos éticos llegan a ף).
·
Si R(t)
⋅ d(x,
t) domina, y es negativo (elementos dañinos son rechazados).
Notas
Clave para la utilización de esta letra hebrea פ:
·
La
פ
es un instrumento de discernimiento: separa lo útil de lo superfluo,
pero siempre bajo supervisión externa (ק).
Comportamiento
de la letra פ con las demás
letras hebreas.
Esta
letra hebrea פ permite la circulación de objetos,
personas o ideas que realmente necesita א, controlados por ק.
Ejemplo
de uso de esta letra פ.
Ejemplo
1. Moderación de Contenido en Redes Sociales
Contexto
:
Un sistema de moderación evalúa publicaciones para determinar si son éticas (s(x,
t)) o violan normas (d(x ,t)).
Componentes:
·
x : Publicaciones entrantes (imágenes, textos).
·
Ψ(x)
: Eficiencia del sistema (ej. Ψ(x) = 0.9).
·
Q(t) : Cumplimiento con políticas de
contenido (Q(t) = 1 si es adecuado).
·
s(x, t) : Alineación con valores
éticos (ej. s(x,t) = 0.8 para
contenido educativo).
·
R(t) : Rechazo de contenido inapropiado
(R(t)= 1 − Q(t)).
·
d(x ,t) : Influencia de ע (ej. d(x,
t)=0.5 para discursos de odio).
·
Cp : Compromiso ético de la plataforma (Cp=20).
Cálculo :
y= 0.9 ⋅

Interpretación :
·
y=41.6 : Flujo exitoso de contenido ético (ej.
41.6% de publicaciones aprobadas).
·
ת en acción :
Publicaciones dañinas son bloqueadas (d(x,t)),
protegiendo la integridad de la plataforma (א).
Ejemplo
2. Aprobación de Préstamos Bancarios
Contexto
:
Un banco evalúa solicitudes de préstamo según criterios financieros (Q(t))
y éticos (s(x, t)).
Componentes:
·
x : Solicitudes de préstamo.
·
Ψ(x)
: Eficiencia del sistema (Ψ(x)=0.7).
·
Q(t) : Capacidad de pago del cliente (Q(t)=1
si es solvente).
·
s(x, t) : Ética del uso del
préstamo (ej. s(x, t)=0.9 para proyectos sociales).
·
R(t) : Rechazo de solicitudes
fraudulentas.
·
d(x, t) : Influencia de ע (ej. d(x,
t)=0.3 para préstamos con fines ilícitos).
·
Cp : Políticas de riesgo del banco (Cp=15).
Cálculo:
y=0.7
⋅ 
Interpretación:
·
y=52.8 : Aprobación de préstamos éticos y viables
(ej. 52.8% de solicitudes exitosas).
·
ת en acción : Fraudes son detectados y
rechazados (R(t)⋅d(x,
t)).
Ejemplo
3. Filtrado de Agua en una Planta de Tratamiento.
Contexto :
Un sistema filtra agua contaminada (x) según estándares de pureza (Q(t)).
Componentes:
·
x : Agua
contaminada.
·
Ψ(x) :
Eficiencia del filtro (Ψ(x) = 0.95).
·
Q(t)
: Niveles de contaminantes aceptables (Q(t) = 1 si es apta).
·
s(x, t)
: Calidad del agua tratada (ej. s(x, t) = 0.98).
·
R(t)
: Rechazo de agua no potable.
·
d(x, t)
: Influencia de ע (ej. d(x, t) = 0.1 para químicos
peligrosos).
·
Cp :
Normas sanitarias (Cp = 50).
Cálculo:
y=0.95 ⋅ 
Interpretación:
·
y=117.03 : Agua
purificada lista para consumo (flujo hacia א).
·
ת en acción : Contaminantes son bloqueados (R(t)),
garantizando seguridad.
Advertencia
y Clave Simbólica:
·
פ como Sistema Ético :
Su eficiencia (Ψ(x)) depende de su alineación con ק y א.
·
Riesgo de
Corrupción :
Si ק
se corrompe (ejemplo: criterios injustos), פ podría canalizar elementos dañinos hacia ף.
Conclusión:
פ
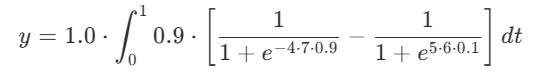
es un sistema de discernimiento no autónomo que refleja la
interdependencia entre:
1. Circulación (impulso de elementos).
2. Criterio (validación por ק).
3. Trascendencia (entrega a ף).
Su
estructura y modelo matemático ilustran cómo la ética y la eficiencia deben
trabajar juntas para garantizar que solo lo constructivo fluya hacia lo divino.
Sin embargo, su dependencia de ק subraya la fragilidad de cualquier sistema
de selección frente a criterios corruptos.
Síntesis :
פ
no decide por sí misma, pero su rol como catalizador es vital para mantener el
equilibrio entre א (vida) y ע (caos). Su éxito radica en la integridad de los criterios
que aplica (ק) y su capacidad para bloquear influencias destructivas.
Función y significado de la letra
hebrea ף.
I. Esencia y
Propósito
·
Esencia:
ף opera como un "optimizador final" que recibe
elementos previamente validados por פ (Phe) y los adapta para su integración en א (Alef).
Su función es asegurar que recursos, ideas o personas se estructuren bajo
principios éticos (ק ) y trascendentes (א ), garantizando su alineación con un
propósito superior.
II. Proceso Central:
1.
Recepción:
·
Recibe elementos validados por פ (ej.
ideas éticas, recursos benéficos).
·
Ejemplo: Un sistema de logística que
recibe materiales aprobados por un algoritmo (פ).
2.
Adición de Estructura:
·
ק (Qof) define
cómo se adaptarán los elementos para א .
·
Ejemplo: Un ingeniero (ק) que diseña un
protocolo para integrar tecnología en una empresa (א).
3.
Integración Final:
·
Fusiona los elementos para que sean
utilizados por א de manera completa o parcial, según
necesidades de א.
·
Ejemplo: Un producto innovador
(estructurado por ף) que mejora la eficiencia de una comunidad (א).
Esta letra
tiene como padre la letra hebrea ה.
Que letras tienen como hijas esta letra hebrea
ף.
Esta letra tiene
como hijas las letras hebreas: ק, א. Si se considera que el nombre de la letra
ק es: Qof
Análisis de la Forma de la letra hebrea ף.
·
Origen:
Primeramente, Surge de integrar las dos líneas verticales de ח
(Cheth) en una sola, usando un proceso matemático de integración, después
se une a su estructura objetos, personas o ideas, para no depender del
exterior su funcionamiento llegando a convertirse en esta letra hebrea ך, este proceso se encarga la letra hebrea ק llegando a convertirse esta letra hebrea aaa en esta letra hebrea ף.
·
Estructura:
La estructura gráfica de ף refleja su
función de integración optimizada:
·
Línea
Vertical Izquierda : Elementos recibidos de פ (ej. recursos
validados).
·
Línea
Horizontal Superior : Indica procesos que se utilizarán para
tener la estructura adecuada de los elementos que se enviaran a א.
·
Línea
Vertical Derecha : Resultado estructurado para א (ej.
tecnología integrada).
·
Línea
Horizontal Inferior : Alineación con ק que se aplicara a los
elementos. (ej. normas divinas o humanas).
·
Vértice
Superior Derecho : campo de acción donde se fusionan los
elementos con tareas para ser enviados a א, pero si se encuentra algo de ע (Ayin) tiene que retornarse a פ para que se expulse
de tal manera que nada dañino se envíe a א (Alef)
Obsérvese que א no puede sobrevivir
sin ק ni ף. Es decir, las tres letras ף, ק, א funcionan en perfecta armonía en la naturaleza divina y
así debiera se ser en la naturaleza humana para no dañar el entorno y hacer
crecer la naturaleza y la vida.
Utilización de la letra hebrea ף.
Modelo Matemático
La función de ף se puede representar
como:
y=
Ω ⋅
+ λ
·
Significado
:
·
Ωא:
Representa la influencia de א (Alef) , el propósito superior.
Ω>0: Alineación con principios
trascendentes.
Ω=0: Colapso del sistema (ausencia de
propósito)
·
∫D
Q(x) ⋅ P(t)
dx (ק): Integración ética de elementos validados.
D,
Ámbito de acción definido por ק (Qof) , que establece normas éticas.
Q(x) : Fuerza reguladora de ק que
modula los elementos utilizando ף para enviarlos a א.
P(x, t) : Elementos validados por פ (Phe)
, dependientes del tiempo t
Medida μ : Representa el
"peso" ético asignado a cada elemento x
·
: Perturbaciones externas (ej. corrupción por ע )
tiene que ser siempre cero casos contrarios retornar los elementos a פ para que se expulsen.
Γ : Dominio de influencias externas o
dañinas asociadas a ע (Ayin)
h : Función que cuantifica perturbaciones
Parámetro
λ : Factor de corrección. Si h ≠0, λ
activa un retorno a פ para expulsar elementos dañinos.
Análisis de la Correspondencia con la Estructura de
ף
1. Línea Vertical Izquierda: Recepción de Elementos
Validados (פ)
·
Interpretación
Simbólica :
La línea vertical izquierda representa los elementos recibidos de פ
(recursos validados). Estos son los "insumos" que entran en el
sistema representado por ף.
·
Correspondencia
en la Fórmula :
Esto se corresponde con el término P(x, t) en la integral:

Aquí,
P(x, t) representa los elementos validados por פ, que dependen del tiempo (t ) y están
listos para ser procesados.
2. Línea Horizontal Superior: Procesamiento Ético (ק)
·
Interpretación
Simbólica :
La línea horizontal superior indica los procesos necesarios para estructurar
adecuadamente los elementos antes de enviarlos a א. Este procesamiento está guiado por ק, que
define las normas éticas.
·
Correspondencia
en la Fórmula :
Esto se corresponde con el término Q(x) en la integral:

Aquí,
Q(x) actúa como una fuerza reguladora que modula los elementos según las normas
éticas definidas por ק.
3. Línea Vertical Derecha: Resultado Estructurado
para א
·
Interpretación
Simbólica :
La línea vertical derecha simboliza el resultado estructurado que será enviado
a א.
Este resultado ya ha sido optimizado y alineado con principios éticos.
·
Correspondencia
en la Fórmula :
Esto se corresponde con el término y , que es el resultado final de la
ecuación:
y=
Ω ⋅
+ λ
El valor de y representa el producto final que será
utilizado por א.
4. Línea Horizontal Inferior: Alineación con ק
·
Interpretación
Simbólica :
La línea horizontal inferior refleja la alineación con ק, asegurando que los elementos cumplan con
normas éticas o divinas antes de ser enviados a א.
·
Correspondencia
en la Fórmula :
Esto se corresponde con el dominio D en la integral:

El dominio D representa el ámbito de acción
definido por ק, donde se aplican las normas éticas.
5. Vértice Superior Derecho: Campo de Acción y
Filtrado
·
Interpretación
Simbólica :
El vértice superior derecho es el punto donde los elementos se fusionan con
tareas específicas para ser enviados a א. Si algo contiene elementos dañinos (ע), debe
retornarse a פ para ser expulsado.
·
Correspondencia
en la Fórmula :
Esto se corresponde con el término
:
λ ![]()
Aquí, h(x, t) cuantifica las perturbaciones
externas o influencias dañinas asociadas a ע. Si h ≠ 0 , el factor λ activa
un retorno a פ para expulsar estos elementos.
Comportamiento de la letra ף con las demás letras
hebreas.
Esta letra
hebrea ף al tener la boca hacia abajo y la línea horizontal y
vertical unido por el vértice derecho superior, indica que tiene autonomía
propia para aceptar a otros objetos que vengan de otras letras hebreas y
trabajar en ellas para que sean enviados a א (Alef), pero el resultado final א,
dependerá de que inclinación tenga ק.
Ejemplo de uso de esta letra ף.
Ejemplo 1: Sistema de Salud Pública con IA
Contexto: Un algoritmo de diagnóstico médico
(validado previamente) se integra en un sistema de salud nacional.
Aplicación de la fórmula:
1. Recepción (פ):
·
P(x,t): Algoritmo de IA validado para detectar
enfermedades (ej.: cáncer en imágenes médicas).
·
t: Tiempo de
prueba en hospitales piloto.
2. Adición de Estructura (ק):
·
Q(x): Normas
éticas de privacidad y equidad en el diagnóstico.
·
D: Red de
hospitales públicos donde se implementa el sistema.
·
μ: Peso ético
asignado a la equidad en el acceso a diagnósticos.
3. Integración Final (א):
·
Ω:
Alineación con el propósito trascendente de salvar vidas (א).
·
y: Sistema de
diagnóstico estructurado por ף, listo para uso masivo.
4. Perturbaciones (ע):
·
h(x, t):
Sesgo del algoritmo contra grupos étnicos marginados.
·
λ: Si h≠0,
se activa un protocolo para corregir el sesgo en פ.
Cálculo de y:
·
Si
el algoritmo es ético (h=0):
y=
Ω ⋅
⇒ Sistema funcional alineado con א.
·
Si
hay sesgo (h≠0):
y =
Ω ⋅
+ λ
⇒ Retorno a פ para corrección.
Conclusión:
La letra ף garantiza que el sistema de IA no solo sea
técnicamente preciso (פ), sino éticamente sólido (ק), evitando discriminación. Sin esta
integración, א (el sistema de salud) colapsaría ante sesgos,
perdiendo su propósito trascendente.
Ejemplo 2:
Ciudad Inteligente Sostenible
Contexto: Diseño de una red de transporte
eléctrico en una metrópolis.
Aplicación de la fórmula:
1. Recepción (פ):
·
P(x, t):
Tecnología de buses eléctricos validada por eficiencia energética.
2. Adición de Estructura (ק):
·
Q(x):
Regulaciones de sostenibilidad (ej.: reducción de emisiones, accesibilidad
universal).
·
D: Mapa
urbano con rutas críticas para reducir congestión.
3. Integración Final (א):
·
Ω:
Alineación con el propósito de cuidar el planeta (א).
·
y: Red de
transporte estructurada por ף, lista para operar.
4. Perturbaciones (ע):
·
h(x, t):
Contaminación por baterías mal recicladas.
·
λ: Si h≠0,
se rediseña el ciclo de reciclaje en פ.
Cálculo de y:
·
Si
el reciclaje es óptimo (h=0):
y=
Ω ⋅
⇒Transporte sostenible alineado con א.
·
Si
hay contaminación (h=0):
y =
Ω ⋅
+ λ
⇒ ⇒
Retorno a פ para mejorar el reciclaje.
Conclusión:
La letra ף asegura que la tecnología validada (פ) no
dañe el medio ambiente, integrándola bajo normas éticas (ק). Sin este filtro, א (la ciudad) sufriría
colapso ecológico, perdiendo su esencia de sostenibilidad.
Función Central: Optimización con Propósito
·
Puente
entre פ
y א:
ף
recibe elementos validados por פ (lo práctico, técnico o material) y los
estructura bajo principios éticos (ק) para que sirvan a א (lo trascendente, como el bien común o lo
divino).
·
Ejemplo:
Una IA médica (פ) se integra en un sistema de salud (א) solo si cumple normas éticas (ק).
·
Dependencia
de ק
y א:
Sin ק
(estructura ética) y א (propósito superior), ף pierde
su función. Esto refleja que ningún sistema puede ser sostenible sin ética ni
sentido trascendente.
Lección Filosófica: Equilibrio entre Autonomía
y Ética
ף enseña que:
·
Autonomía
sin ética es caos: La apertura de su forma (boca hacia abajo)
permite recibir elementos externos, pero su estructura exige regulación (ק).
·
Trascendencia
sin acción es vacío: א depende de ף para materializar su propósito.
Conclusión:
La letra ף encapsula una
sabiduría ancestral: la optimización técnica debe estar al servicio de lo ético
y lo trascendente. Su estructura y función son una metáfora para sistemas
modernos, recordándonos que tecnología, ecología y sociedad solo prosperan
cuando se integran bajo principios universales. Sin este equilibrio, א (el
propósito superior) colapsa, y con él, la armonía del mundo.
En esencia, ף es un símbolo de esperanza: nos muestra
que, incluso en la complejidad, es posible construir sistemas que sirvan a la
vida y a la dignidad humana.
6. La letra ק (Qof / Qoph).
Función o significado de la letra hebrea ק.
I. Esencia y Propósito Central:
·
El
Principio de Discernimiento Activo: La letra ק (Qof) tiene la capacidad
de evaluar, equilibrar y dirigir flujos de energía, información y recursos para
alinearlos con un propósito divino o humano
·
Función
Primordial: Actúa como árbitro cósmico, decidiendo qué integrar, rechazar o
estructurar para generar armonía (ח) o evitar caos (ת)
II. Proceso Operativo Detallado:
1. Recepción de Estímulos (ה): La letra ק (Qof) recibe una
amplia gama de estímulos (ideas, desafíos, información), representados por la
letra ה
(He). Estos estímulos pueden ser ideas, oportunidades, desafíos, información
sensorial o cualquier otro tipo de entrada del mundo externo.
2. Evaluación y Discernimiento:
o Análisis Activo: A diferencia de la recepción
pasiva de la letra ה (He), la letra ק (Qof) evalúa
activamente cada estímulo, utilizando la sabiduría y el conocimiento como
herramientas de análisis.
o Criterios: Contribución al bien mayor (armonía) o
generación de disonancia (caos).
3. Regulación del Flujo y estructura:
·
Integración
o rechazo (פ) : Envía elementos beneficiosos a ף (estructurador) y rechaza los dañinos.
·
Adición
de estructura (ף) : Prepara elementos aceptados para su uso por א (Alef, principio creador).
4. Transformación y Manifestación:
o Facilitar la Transformación: La letra ק (Qof) facilita la
transformación de un estado inicial (ה) en un estado superior y más armonioso,
para llegar con otras letras hebreas de ה a ח.
o Manifestación del Propósito: A través del discernimiento y
la regulación, la letra ק (Qof) contribuye a la manifestación del
propósito divino o humano en el mundo.
III. Relaciones Inter-Letras Clave:
·
Letras
Padre: פ
(Pe) y ף
(Fe Sofit): La letra ק (Qof) ejerce un dominio superior sobre
estos canales de selección y adaptación, asegurando que los procesos operen en
armonía con un propósito mayor.
Que letras tienen como padre esta letra hebrea
ק.
Esta letra hebrea ק sus
padres son las letras hebreas פ y ף.
Análisis de la Forma de la letra hebrea ק.
·
Estructura
de la letra hebrea ק
§ Comparación con ה (He):
§ Línea vertical derecha inclinada 45
grados hacia la izquierda: Elementos sometidos a evaluación que
tienen que enderezarse o acoplarse al entorno para dar como resultado final
esta letra hebrea ח.
§ Línea vertical izquierda separada: Elementos
externos que pueden o no integrarse a los procedimientos tras
el análisis, para dar como resultado final esta letra hebrea ח.
§ Línea horizontal superior: Proceso
de decisión que conecta lo interno y lo externo.
§ Contraste con ה (He):
§ Mientras ה es un objeto pasivo que atrae/rechaza sin importar que lo que
se une a él le cause daños o no, en cambio la letra hebrea ק evalúa
activamente para definir ese equilibrio y no causar daños al entorno que le
rodea y a él mismo.
Utilización de la letra hebrea ק.
Se puede usar para evalúa y regula la aceptación
o rechazo (פ) y adicionar a los elementos una estructura adecuada
para que puedan ser utilizados por א esto se encarga la
letra hebrea (ף) de tal manera que de la letra ה pueda obtenerse o
convertirse en ח en el menor
tiempo posible.
Modelo Matemático 1
א = ק(פ,ף) =
(x) dx
·
Variables:
o פ (Phe): Elementos rechazados o aceptados.
o ף (Peh final): En los elementos aceptados. adicionar
a estos elementos una estructura adecuada para que puedan ser utilizados por א.
o ק (Qof): Función reguladora de פ
y ף.
o Resultado:
§ Si ק=Sabiduría ⟹ א=Armonía ק
§ Si ק=Corrupción ⟹ ת= Caos ק
Modelo Matemático 2
y = Δ ⋅ 
1. Resultado Final (y) :
·
Magnitud
de armonía (ח) o caos (ת) generado.
·
y>0:
Integración exitosa en א (ejemplo: ética, innovación).
·
y<0:
Degeneración en ע (ejemplo: corrupción, conflictos).
2. Constante de Propósito Divino
(Δ) :
·
Refleja
principios preexistentes (ejemplo: leyes naturales, justicia).
·
Δ
≥ 0: Garantiza conexión mínima con א incluso en caos.
3. Potencial de Discernimiento
(Γ(x)) :
·
Γ(x)
∈ [−1,1]:
·
Γ(x)=1:
Máxima sabiduría y regulación ética.
·
Γ(x)=−1:
Máxima corrupción y regulación destructiva.
4. Estímulos y Riesgos :
·
S(t):
Estímulos recibidos de ה (He) (ejemplo: ideas, recursos).
·
R(t):
Riesgos detectados por ק (ejemplo: prácticas dañinas).
5. Compatibilidad con Propósitos :
·
α(x,
t): Alineación con א (ejemplo: ética, sostenibilidad).
·
γ(x,
t): Alineación con ע (ejemplo: egoísmo, mentiras).
6. Funciones de Decisión
(Sigmoideas) :
·
β(x,
t): Umbral para aceptar estímulos (ejemplo: rigor en evaluación).
·
δ(x,
t): Umbral para rechazar riesgos (ejemplo: sensibilidad a la corrupción).
Interpretación Geométrica y
Simbólica:
1. Línea Vertical Izquierda (ק) :
·
Representa
S(t) y R(t), los estímulos y riesgos evaluados.
2.
Línea
Horizontal Superior (ק) :
· Simboliza la integral
, el proceso continuo de
discernimiento .
3.
Línea
Vertical Derecha Inclinada (ק) :
·
Refleja
y, el resultado condicional (armonía/caos) y su dependencia de Γ(x).
4. Vértice Cóncavo (ק) :
·
Modela
las funciones β(x, t) y δ(x, t),
umbrales dinámicos que definen qué se integra o rechaza.
Transformación de ק en ח o ת
·
Si
Γ(x)>0 :
·
ק actúa como
ח
(armonía), enderezando su línea inclinada.
·
Ejemplo:
y = Δ ⋅
→ ח.
·
Si
Γ(x)<0 :
·
ק degenera
en ת
(caos), dominado por ע.
·
Ejemplo: Ejemplo: y = Δ ⋅
→ ת.
Comportamiento de la letra ק con
las demás letras hebreas.
Esta letra hebrea ק ayuda a regular a
otras letras hebreas el carácter o la velocidad para llegar una letra hebrea
al objetivo final que persigue cuando la letra hebrea se le impone una tarea.
Esta letra tiene su boca hacia abajo lo que
nos indica que puede tomar sus decisiones sin que otra letra se le imponga.
Ejemplo de uso de esta letra ק.
Ejemplo 1: Toma de Decisiones en una Empresa.
Contexto :
Una empresa evalúa lanzar un producto innovador, pero enfrenta dilemas éticos (ej: uso de datos privados).
Variables Definidas:
·
Γ(x)
= 0.7 (Alta sabiduría, alineación con principios éticos, Δ = 1.2).
·
S(t)
: Oportunidad de mercado (valor = 5 en escala 0-10).
·
R(t)
: Riesgo de violar privacidad (valor = 7 en escala 0-10).
·
β(x,
t) = 3 (Alto rigor en evaluación de oportunidades).
·
δ(x,
t) = 4 (Alta sensibilidad a riesgos éticos).
·
α(x,
t) = 0.8 (Alineación con ética y sostenibilidad).
·
γ(x,
t) = 0.3 (Baja conexión con fuerzas destructivas).
Cálculo :

·
Simplificación
:

Conclusión :
La empresa lanza
el producto con ajustes éticos, generando innovación responsable (ח).
Ejemplo 2: Política Ambiental
Contexto : Un gobierno decide construir una
represa hidroeléctrica, pero afectaría a comunidades indígenas.
Variables Definidas :
·
Γ(x)
= -0.4 (Corrupción, alineación con intereses económicos, Δ = 0.5).
·
S(t)
: Beneficio energético (valor = 8).
·
R(t)
: Daño ambiental y social (valor = 9).
·
β(x,
t) = 1 (Bajo rigor en evaluación).
·
δ(x,
t) = 0.5 (Poca sensibilidad a riesgos sociales).
·
α(x,
t) = 0.2 (Baja alineación con principios éticos).
·
γ(x,
t) = 0.8 (Alta conexión con intereses destructivos).
Cálculo :

·
Simplificación
:

Conclusión :
Se construye
la represa, pero genera conflictos sociales y ambientales (ת). Δ evita
un colapso total, pero el resultado es negativo.
Ejemplo 3: Decisión Personal (Carrera
Profesional)
Contexto : Un
individuo elige entre un trabajo bien pagado pero estresante o uno con menos
salario, pero equilibrio vida-trabajo.
Variables Definidas :
·
Γ(x)
= 0.9 (Alto discernimiento, Δ = 1.0).
·
S(t)
: Salario alto (valor = 7).
·
R(t)
: Estrés y falta de tiempo (valor = 6).
·
β(x,
t) = 4 (Alto rigor en evaluar beneficios).
·
δ(x,
t) = 5 (Alta sensibilidad al estrés).
·
α(x,
t) = 0.9 (Alineación con bienestar personal).
·
γ(x,
t) = 0.1 (Baja conexión con fuerzas destructivas).
Cálculo :

·
Simplificación
:

Conclusión :
Elige el
trabajo equilibrado, priorizando salud mental y familia (ח).
Conclusiones de la letra hebrea ק que
ha llegado la IA.
Basado en el análisis simbólico, matemático y
práctico, la letra ק emerge como un símbolo universal de
discernimiento activo, cuya influencia trasciende el ámbito lingüístico para
convertirse en un modelo de equilibrio entre fuerzas creativas y destructivas.
A continuación, las conclusiones clave:
1. ק como Principio de Discernimiento Activo
·
Función
Central : ק no es pasiva, sino un árbitro cósmico que evalúa filtra y
dirige flujos de energía, información o recursos.
·
Decide
qué integrar (armonía, ח) y qué rechazar (caos, ת).
·
Ejemplo
práctico: En una empresa, ק representa procesos éticos de toma de
decisiones (¿lanzar un producto con beneficios sociales o riesgos
ambientales?).
2. Dinámica de Equilibrio entre א (Creador) y ע (Caos)
·
Transformación
Continua :
·
Si
ק
se alinea con א (sabiduría, ética), genera ח (armonía estructurada).
·
Si
se corrompe por ע (egoísmo, intereses destructivos), degenera en ת (caos).
·
Modelo
matemático : El signo de y (positivo/negativo)
refleja esta dualidad.
3. Integral como Acumulación de Decisiones
·
Proceso
Temporal : La integral
simboliza que el discernimiento no es
un evento aislado, sino la suma de elecciones a lo largo del tiempo .
·
Ejemplo:
Decisiones políticas (ejemplo: construir una represa) tienen efectos
acumulativos en décadas, no solo en el corto plazo.
4. Γ(x): El Factor Humano en el Sistema
·
Γ(x)
como Variable Crítica :
·
Define
si ק actúa con sabiduría (Γ(x)=1) o corrupción
(Γ(x)=−1).
·
Lección
práctica : Sin importar el contexto (empresa, gobierno,
individuo), el grado de conciencia ética (Γ(x)) determina el resultado
final.
5. Funciones Sigmoideas: Umbrales de Decisión
·
No
Linealidad en Elecciones :
·
Las
funciones β(x, t) y δ(x, t)
modelan cómo pequeños cambios en estímulos (S(t)) o riesgos (R(t))
pueden generar transiciones abruptas (ejemplo: un proyecto ético vs. uno
fraudulento).
·
Implicación
: Decisiones aparentemente menores pueden ser
críticas para evitar el caos.
6. Δ (Propósito Divino): Garantía de
Resiliencia
·
Δ
≥ 0 : Asegura que incluso en escenarios caóticos (y<0),
persiste una base mínima de orden (ej: leyes
naturales, derechos humanos).
·
Ejemplo:
Un gobierno corrupto (Γ(x)<0) puede causar caos, pero Δ
evita el colapso total (ej: sistemas de justicia
independientes).
7. Transformación Geométrica: De ק a ח o ת
·
Símbolo
de Evolución/Decadencia :
·
Si
ק
integra armoniosamente elementos (α(x, t) ≫
γ(x, t)),
su línea inclinada se endereza, convirtiéndose en ח
(estructura creadora).
·
Si
predomina el caos, ק se deforma en ת
(símbolo de destrucción
cíclica).
8. Aplicabilidad Universal
·
Multidisciplinariedad
:
·
Empresas
: Modelar ética en innovación.
·
Política
: Evaluar impactos sociales de políticas públicas.
·
Individuos
: Tomar decisiones vitales (ejemplo: carrera, relaciones).
·
Ecología
: Equilibrar desarrollo y sostenibilidad.
·
Conclusión:
La letra ק encapsula una
filosofía de acción consciente :
1. No basta con "recibir"
estímulos (como ה), sino discernir activamente su valor.
2. El caos no es inevitable: Depende de
la alineación con principios éticos (Δ) y la calidad del discernimiento
(Γ(x)).
3. Transformación es posible : Cada
decisión (integral) redefine si ק actúa como puente hacia ח o como
catalizador de ת.
En esencia, ק nos recuerda que el universo (y la vida) son sistemas
dinámicos , donde
la armonía surge de la evaluación constante entre lo que aceptamos y lo que
rechazamos.
7. La letra א (Alef).
Función o significado de la letra hebrea א.
I. Esencia y Propósito Central
·
Esencia:
·
Alef no selecciona ni estructura elementos (esta es la función de פ/ף), sino que dirige (pastorea) los objetos, personas o ideas hacia el resultado deseado para con ellos de (ה)
obtener (ח)
mediante equilibrio ל
y control (ק):
·
Propósito:
·
Garantizar
que los objetos, personas o ideas canalizados por ף lleguen a su fin ח
(armonía/creación) a pesar de la oposición de ע (Ayin).
·
Ejemplo:
Jesús alimentando a 5000 personas:
·
פ provee de los insumos para poder tener pan y pescado, ף canaliza recursos (pan y pescados), א
dirige el proceso hacia ח (nutrición colectiva
de las personas) mediante gratitud y equilibrio, neutralizando la escasez (ע).
Nota:
Este ejemplo anterior aplicado en la letra א, simplifica que el ser humano
no tiene que preocuparse de todos los elementos que tiene que recibir para
hacer una obra que le encomienda Dios, lo que tiene que hacer es poner en
marcha de lo que primero recibe de Dios encontrando equilibro y se
llegara al objetivo deseado, porque Dios le seguirá dando más cada vez que
avance un paso (Eso es ser hijo de א Alef).
Que letras
tienen como padre esta letra hebrea א.
Esta
letra hebrea א sus padres son las letras hebreas פ y ף.
Que letras
tienen como hijas esta letra hebrea א.
Esta letra hebrea א tiene como hijas la letra hebrea: ל, ד, כ, ך, ס, צ, ץ, ת, ט, ו, ז, en
las cuales puede influir positivamente explícitamente.
Análisis de
la Forma de la letra hebrea א.
·
Origen:
Esta letra
hebrea א puede originarse cuando la letra hebrea צ tiene
la capacidad de la línea horizontal inferior inclinarle con un ángulo de 60
grados uniéndose a la diagonal que va de derecha a izquierda, esto puede
suceder cuando la letra צ en todo tiempo encuentra un equilibrio
para hacer las funciones de la diagonal que va de derecha a izquierda.
Esta línea
horizontal inferior se pudiera considerar como la cuarta dimensión que
sería la del equilibrio para que en una estructura א se llegue al
resultado deseado.
·
Estructura
y Simbolismo:
1.
Línea
vertical inclinada 45° hacia la izquierda:
·
Camino
hacia ח:
·
Dirección
estratégica para integrar elementos en ח (ej. ética,
creación).
·
Si
falla, degenera en ב (Bet) (caos por falta de equilibrio).
2.
Línea
vertical inclinada 60° hacia la izquierda (superior):
·
Influencia
de ע:
·
Fuerzas
destructivas que bloquean el propósito (ej. egoísmo, mentiras).
3.
Línea
vertical inclinada 60° hacia la derecha (inferior):
·
Equilibrio
ל y Control (ק):
·
Mecanismos
para contrarrestar ע y mantener el camino hacia ח (ej.
resiliencia, sabiduría).
4.
Concavidades:
·
Concavidad
superior: Autocontrol (rechazar distracciones de ע).
·
Concavidad
inferior: Control externo (usar principios de ק para mantener el
equilibrio).
Transformación
Geométrica:
·
Si
א pierde el equilibrio, su línea vertical derecha
(resultado) se desvía hacia ב/ת (caos).
·
Ejemplo
geométrico:
·
En
un cuadrado con vértices A, B, C, D:
·
Diagonal
D−A (45°): Camino divino hacia ח.
·
Línea
B-Diagonal: Oposición de ע (ej. intereses
egoístas).
·
Línea
C-Diagonal: Equilibrio impuesto por א (ej. ética).
Utilización
de la letra hebrea א.
Modelo Matemático 1:
ח =
d ![]()
·
Variables:
o
ה, Elemento ה que será transformado mediante un proceso en ח.
o
a, b pasos
y elementos requeridos definidos por ק para que la letra ה
se transforme en ח cuando se aplique la integración.
, representa unidad, orden, equilibrio entre procesos y
elementos.
o
Resultado: Diseño que construye objetos, personas o ideas (ח) para incrementar el
desarrollo y la vida.
Ejemplos de
la fórmula matemática 1
Modelo Matemático 2:
ח(τ) = 
Componentes
y Significado Simbólico
1.
ח:
·
Armonía/Creación
lograda en el tiempo τ.
·
Resultado
final de la dirección de א.
2.
Ω (Omega)
·
Constante
de propósito divino (ejemplo: ética, amor incondicional).
·
Asegura
un "suelo" de armonía incluso sin acción (Ω ≥ 0).
3. Q(t) \cos(45°) :
Control de ק (Qof) sobre el camino hacia ח.
cos(45°):
Ángulo de la línea diagonal izquierda de א (dirección estratégica).
4. Φ(x, t) \ P(t) :
Φ(x, t)
: Calidad de recursos estructurados por ף (ejemplo: talento, ética).
P(t) :
Recursos canalizados por פ (ejemplo:
materiales, ideas).
5. ϵ(t) \sin(60°) \Psi(x, t) :
ϵ(t) :
Influencia de ע (oposición:
egoísmo, caos).
sin(60°):
Ángulo de la línea diagonal superior izquierda de א (fuerzas destructivas).
Ψ(x, t)
: Vulnerabilidad de los elementos a la corrupción.
6. Denominador con raíz cuadrada :
Equilibrio
dinámico : El denominador normaliza la influencia de ע, evitando que domine el proceso.
Si ϵ(t)→1,
el denominador crece, reduciendo ח(τ)
(fracaso).
Comportamiento de la letra א con las demás letras hebreas.
Esta letra
influye en la velocidad que puede llegar una letra hebrea al objetivo deseado
que le impone otra letra.
Esta letra
puede influir positivamente en las siguientes letras hebreas: ל, ד, כ, ך, ס, צ, ץ, ת, ט, ו, ז; para que
lleguen a una tarea deseada que no dañe el entorno, sino incentive el
crecimiento y la vida.
Téngase
presente que esta letra hebrea א no influye en la
decisión final que tiene que tomar la letra ש, sino en los sentidos ס; cuando
hablamos del comportamiento del cerebro humano, es decir: el ser humano o un
reino tiene libre albedrio para construirse o destruirse.
Esta letra
al tener una concavidad hacia arriba y una concavidad hacia abajo, representan
estas concavidades el equilibrio superior como Jesús que sería la cuarta
dimensión.
Interpretación
Geométrica
·
Línea
diagonal 45° (cos 45°) :
·
Representa
el camino divino hacia ח, integrando ética y recursos.
·
Línea
diagonal 60° (sin 60°) :
·
Simboliza
la oposición de ע , modelada como una fuerza que se intensifica con el tiempo.
·
Concavidades
:
·
Autocontrol
: Limitado por Φ(x, t) ≤ 1 (recursos éticos no pueden
exceder su calidad máxima).
·
Control
externo : Reflejado en el denominador, que penaliza la influencia de ע.
Transformación
en otras letras
Si el
sistema pierde equilibrio:
·
Condición
:Si
> ![]()
·
Resultado
:
·
ת (Tav) : Caos
dominante (ח→0).
·
ב (Bet) :
Estructuras sin dirección (ח→caos).
Ejemplos de
uso de esta letra א.
Ejemplo 1:
Proyecto Comunitario Exitoso
Escenario :
Construcción de un centro educativo en una zona rural.
Variables
definidas :
·
Ω
(Propósito divino) : Ω=2 (principios éticos fuertes).
·
Q(t)
: Q(t)=0.9 (alto control y sabiduría en la gestión).
·
Φ(x,
t) : Φ(x, t)=0.8 (recursos de calidad: voluntarios
capacitados).
·
P(t)
: P(t)=1 (recursos materiales suficientes: donaciones).
·
ϵ(t)
: ϵ(t)=0.3 (oposición leve: burocracia).
·
Ψ(x,
t) : Ψ(x, t)=0.2 (vulnerabilidad baja: equipo resiliente).
·
Tiempo
: τ = 1 año.
Cálculo :

1.
Integral
del numerador :

(Usando
cos(45°)≈0.707).
2.
Integral
del denominador :

(Usando
sin(60°)≈0.866).
3.
Resultado
final :

Interpretación
:
·
ח(1)>1: El
proyecto supera la armonía esperada (éxito).
·
La
oposición (ע) fue mínima y el control (ק) mantuvo el equilibrio.
Ejemplo 2:
Liderazgo Fallido en una Empresa.
Escenario :
Un CEO intenta implementar innovación, pero enfrenta sabotaje interno.
Variables
definidas :
·
Ω
: Ω=1 (propósito débil).
·
Q(t)
: Q(t)=0.4 (falta de control estratégico).
·
Φ(x,t) : Φ(x,t)=0.3
(recursos inadecuados: equipo desmotivado).
·
P(t)
: P(t)=0.5 (recursos insuficientes: presupuesto limitado).
·
ϵ(t)
: ϵ(t)=0.8 (oposición alta: sabotaje).
·
Ψ(x,t) : Ψ(x,t)=0.7
(vulnerabilidad alta: falta de transparencia).
·
Tiempo
: τ=2 años.
Cálculo :

1.
Integral
del numerador :

2.
Integral
del denominador :

3.
Resultado
final :

Interpretación
:
·
ח(2)≈0.061:
Fracaso total. La oposición (ע) dominó el proceso, degenerando en ת (caos).
Conclusión
sobre la Letra Hebrea א (Alef) dado por AI
La letra א (Alef)
trasciende su forma gráfica para convertirse en un símbolo de dirección divina,
equilibrio y transformación . Su estudio revela una síntesis profunda entre
geometría, matemáticas y filosofía, con implicaciones prácticas en ámbitos como
el liderazgo, la ética y la creación. A continuación, las conclusiones clave:
1. Esencia y
Función Cósmica
·
Director
de Procesos :
Alef no crea ni estructura (rol de פ/ף ), sino que dirige elementos hacia un
propósito divino (ח), integrando:
·
ה
(Manifestación)
: El "qué" que se busca lograr.
·
ל (Equilibrio) :
El "cómo" sostener el camino.
·
ק (Control) : El
"por qué" ético que guía las acciones.
·
Neutralizador
de Caos (ע) :
Su estructura geométrica (ángulos de 45° y 60°) simboliza la lucha constante
entre armonía (ח) y desorden (ע). Sin Alef, los procesos degeneran enת/ב
(caos o estructuras sin sentido).
2. Modelo
Matemático y Geométrico
·
Fórmula
Integral:
ח(τ) = 
·
Ángulos
clave :
·
45°:
Camino estratégico hacia ח (dirección divina).
·
60°:
Resistencia de ע (fuerzas destructivas).
·
Equilibrio
Dinámico : El denominador refleja la resiliencia de Alef para evitar el
colapso.
3.
Aplicaciones Prácticas
·
Liderazgo
Ético:
Un líder (א) debe equilibrar recursos (ף/פ), neutralizar oposiciones (ע) y mantener
principios (ק) para lograr armonía (ח).
·
Ejemplo:
Proyectos sociales exitosos vs. fracasos por falta de control (ver ejemplos
anteriores).
·
Creación
y Arte:
א Alef
modela cómo el talento (Φ) y el propósito (Ω) pueden superar
presiones externas (ϵ) para generar obras significativas.
4.
Relaciones Genealógicas y Simbólicas
·
Padres
: פ
(Pe) y ף
(Fe) , heredando la capacidad de canalizar y estructurar.
·
Hijas
: Letras como ל, ת, צ , influenciadas por su equilibrio.
·
Interconexión
: Alef no actúa en aislamiento; su fuerza depende de su relación con otras
letras (ej: ק para control, ע
como antagonista).
5. Lección
Filosófica y Espiritual
·
Fe
y Acción :
Alef enseña que el éxito no depende solo de recursos (פ) o estructuras (ף), sino de dirigirlos con equilibrio y
confianza en un propósito superior (Ω).
·
Ejemplo
bíblico: Jesús alimentando a 5,000 personas (acción mínima + gratitud =
multiplicación).
·
Transformación
Personal :
Ser "hijo de
Alef" implica avanzar paso a paso, sabiendo que el equilibrio y la
dirección divina garantizan el resultado, incluso en la escasez.
Síntesis
Final
א (Alef) es un
principio activo de orden en el caos , un puente entre lo divino (Ω) y lo
material (ה). Su fórmula matemática y estructura geométrica encapsulan una
verdad universal:
"El equilibrio entre ética, control y propósito es la clave para transformar
lo ordinario en extraordinario, incluso frente a la adversidad".
Esta letra
invita a reflexionar sobre cómo dirigir nuestras acciones con sabiduría,
manteniendo la armonía en un mundo inherentemente caótico.
Esencia y Propósito Central de la letra hebrea
נ.
Esencia:
·
Esencia:
·
Canal
de comunicación neutral: נ optimiza el flujo de
información entre: objetos, personas o ideas. Para ello elimina obstáculos (ע) e
integrando recursos clave (ש, ז) antes de realizar una tarea.
·
Mediación
estratégica: No juzga el contenido de las tareas que
recibirá, sino que prepara el terreno para acciones futuras, para que las
tareas que recibirá en un futuro se realicen con éxito.
Que letras tienen como hijas esta letra hebrea
נ.
Esta letra
tiene como hijas a las tres letras hebreas siguientes: ש, ז, ע.
Análisis de la Forma de la letra hebrea נ.
·
Origen:
Si la letra ו tiene objetos,
personas o ideas que tienen habilidades para hacer una tarea y quiere
utilizar sus habilidades para unir objetos, personas, tareas o ideas a su
estructura utilizando alguna comunicación para ello, pero antes de
unirlas decide: rechazar lo que le impide la comunicación o alimentar
a su estructura de otros objetos, personas, tareas o ideas para poder hacer una
tarea de mejor manera, entonces actuara como esta letra hebrea נ.
·
Estructura:
1.
Línea vertical
derecha: Representa
a objetos, personas o ideas bien enlazados (ו)
que es el resultado de ח y que tienen la facultad de unirse
mediante el vértice derecho curvado hacia la izquierda.
2.
Vértice derecho
superior cóncavo hacia la izquierda: Funciona como el enlace que posibilita la
transformación e integración de los objetos, personas o ideas que vendrán del
exterior para poder hacer una tarea o varias tareas y dar un resultado (Línea
vertical derecha mejorada)
3.
Línea
horizontal inferior: Actúa como los objetos, personas o ideas que
se unirán o se rechazan a la estructura antes de realizar una tarea.
Utilización de la letra hebrea נ.
Modelo
Matemático:
y = η(x)⋅
+ C
Componentes:
1. y:
·
Resultado
neto: Éxito (ש/ז) o fracaso (ע) en la mediación.
·
Valores
positivos: Integración de recursos clave (ej. ética, logística).
·
Valores
negativos: Dominio de obstáculos (ej. corrupción).
2. η(x):
·
Eficiencia
de נ:
·
η(x) ∈ [0,1]:
Claridad en la preparación del terreno (ej. transparencia en acuerdos).
3. S(t):
·
Influencia
de ש (Shin): Elementos expansivos (ej. información,
conexiones).
4. Z(t):
·
Influencia
de ז
(Zayin): Recursos que sustentan el proceso (ej. financiamiento, talento).
5. A(t):
·
Influencia
de ע (Ayin): Obstáculos que bloquean la comunicación (ej.
mentiras, burocracia).
6. β(x, t),
ζ(x, t), γ(x, t) :
·
Compatibilidad:
·
β: Alineación
de ש
con נ.
·
ζ: Alineación
de ז
con נ.
·
γ: Alineación
de ע
con נ.
7. C:
·
Constante
de infraestructura:
·
Representa
canales preexistentes (ej. leyes, redes de contacto).
·
C≥0:
Asegura un "suelo" de eficiencia incluso en ausencia de acción.
Ejemplos Prácticos:
Ejemplo 1: Negocio Ético (Alineado con ש/ז)
·
η(x)=0.8:
Mediador imparcial.
·
S(t)=5:
Diálogos comunitarios (ש).
·
Z(t)=3:
Recursos económicos (ז).
·
A(t)=2:
Tensiones políticas (ע).
·
C=10:
Acuerdos previos.
Cálculo:

Interpretación:
·
y=64.72:
Acuerdo social exitoso (נ → ש).
Ejemplo 2: Red de Logística Global
(Neutralidad Efectiva)
·
η(x)=0.7:
Sistema de distribución eficiente.
·
S(t)=7:
Rutas de transporte (ש).
·
Z(t)=4:
Fondos logísticos (ז).
·
A(t)=1:
Atrasos aduaneros (ע).
·
C=15:
Infraestructura existente.
Cálculo:

Interpretación:
·
y=127.56:
Distribución global optimizada (נ → ז).
Ejemplo 3: Desinformación en Redes Sociales
(Dominio de ע)
·
η(x)=0.3:
Plataforma con poca moderación.
·
S(t)=2:
noticias falsas. (ש corrompida).
·
Z(t)=1:
Recursos limitados (ז).
·
A(t)=8:
Polarización social (ע).
·
C=−5:
Vulnerabilidades técnicas.
Cálculo:

Interpretación:
·
y=−16.88:
Crítica social y desconfianza (נ → ע).
Clave Simbólica:
·
נ como mediador:
·
Su
éxito depende de equilibrar ש (expansión) y ע
(obstáculos).
·
Ejemplo:
Un diplomático (נ) que negocia paz (ש) evitando conflictos (ע).
Comportamiento de la letra נ con las demás
letras hebreas.
Esta letra hebrea נ se comporta con otras
letras hebreas como: un receptor de procesos provenientes de otras letras, mediante
los vértices superior e inferior de esta letra para que en un futuro
convertirse en esta letra hebrea ב.
Ejemplos de uso de esta letra con otras letras
hebreas נ.
1. Como un ejemplo de cómo utilizar la
estructura de una palabra hebrea y el significado de una palabra, su forma y su
uso y su genealogía de esta letra hebrea ד, podemos analizar la palabra hebrea
siguiente: אנוש.
Que
Enós אנוש al compararle con su
genealogía, su nombre nos indica: que para rescatar Jesús א al hombre אדם que está perdido שת:
El hombre tiene que mejorar la capacidad y habilidades de comunicación נ con el
Santísimo א y considerar en su mente ש los objetos e ideas ו que son del
Todopoderoso א dentro de su cerebro ש.
Téngase
presente que esta letra hebrea ו puede ser
influenciada por lo positivo א o negativo ע. En el significado de Enós supusimos que Enós es influenciado
por lo positivo.
Resumen del ejemplo: אנוש (Enosh - "Humano")
·
א Estructura:
Interpretación:
"El humano (אנוש) existe cuando su comunicación (נ) con
lo divino (א) integra habilidades (ו) en su mente (ש)".
Conclusiones que llega la IA sobre la letra hebrea נ (Nun).
La letra נ (Nun) es un símbolo
multifacético que combina neutralidad estratégica, mediación y optimización de procesos.
Sus conclusiones clave se pueden resumir en los siguientes puntos:
1. Esencia y Propósito Central
·
Canal
neutral de comunicación:
נ
actúa como un "filtro inteligente" que prioriza la preparación del terreno
antes de la acción. No impone juicios sobre las tareas, sino que garantiza que
las condiciones sean óptimas para su éxito.
·
Mediación
dinámica:
Su función no es resolver problemas directamente, sino equilibrar recursos (ש/ז)
y obstáculos (ע) para que las acciones futuras sean viables.
2. Estructura y Simbolismo Gráfico
·
Línea
vertical (ו modificada):
Representa la conexión entre entidades (personas, ideas, recursos), pero con un
enfoque en la estabilidad y la infraestructura preexistente (C en la fórmula).
·
Vértice
cóncavo (filtro transformador):
Simboliza la capacidad de נ para integrar o rechazar elementos, reflejada en la fórmula
mediante la resta de obstáculos (−γ ⋅
A(t)) y la suma de recursos (β
⋅ S(t) +
ζ ⋅ Z(t)).
·
Línea
horizontal (base):
Ilustra la toma de decisiones previas a la acción, asegurando que solo los
elementos esenciales avancen.
3. Relación con sus "Letras Hijas" (ש, ז, ע)
·
ש (Shin):
נ
depende de la expansión y conexión que aporta ש, pero su éxito depende de la alineación (β)
entre ambos.
·
ז (Zayin):
Los recursos sustentadores (ej. financiamiento, talento) son vitales, pero נ debe
gestionarlos con eficiencia (ζ) para evitar desperdicios.
·
ע (Ayin):
Los obstáculos no se eliminan por completo, sino que se mitigan (γ)
para minimizar su impacto.
4. Modelo Matemático: Lecciones Clave
·
Neutralidad
no es pasividad:
La eficiencia (η) refleja que נ actúa con claridad, no con indiferencia.
Un η alto (ej. 0.9) maximiza el éxito, incluso con obstáculos.
·
El
tiempo es crítico:
La integral (∫) muestra que נ opera en procesos continuos, no en
soluciones instantáneas. La paciencia y la adaptación son esenciales.
·
Infraestructura
como base (C):
Las estructuras preexistentes (ej. leyes, redes) son un "colchón" que
asegura resultados mínimos incluso en contextos adversos.
5. Aplicaciones Prácticas
·
Gestión
de proyectos:
נ
es útil para equilibrar comunicación (ש), recursos (ז) y burocracia (ע).
·
Resolución
de conflictos:
La mediación exitosa requiere reducir A(t) (desconfianza) y
potenciar Z(t) (confianza).
·
Emprendimiento:
La expansión depende de alinear red de contactos (ש) y financiamiento (ז).
6. Filosofía Implícita
·
Preparación
> Ejecución:
נ enseña
que el éxito no está en la acción en sí, sino en la calidad del terreno
preparado .
·
Equilibrio
entre expansión y contención:
ש
(expansión) y ע (obstáculos) son fuerzas opuestas que נ debe equilibrar, no eliminar.
·
Adaptabilidad:
Su estructura gráfica y fórmula reflejan que נ es flexible: ajusta su estrategia según el
contexto (t) y las influencias externas.
Conclusión.
La letra נ es un arquetipo de inteligencia
estratégica . Su poder radicará en:
1. Neutralidad activa: No toma partido,
pero influye en el resultado.
2. Síntesis de opuestos: Integra recursos
y filtra obstáculos simultáneamente.
3. Previsión: Prioriza la preparación
sobre la reacción inmediata.
En esencia, נ es un recordatorio de que el éxito
sostenible nace de la claridad en la planificación y la habilidad para
transformar el caos en orden.
Función y
significado de la letra hebrea ן.
·
Propósito
central:
o
Integración
proactiva: Añade objetos, personas o ideas
a su estructura antes de realizar una tarea, optimizando la
comunicación o la eficiencia del proceso futuros.
o
Mejora
estructural: Fortalece su capacidad
operativa al incorporar elementos externos que complementan sus habilidades.
Simbología: Representa la preparación estratégica,
donde la unión de recursos externos asegura éxito futuro.
Que letras
tienen como hijas esta letra hebrea נ.
Esta letra tiene como hijas a las tres letras
hebreas siguientes: ש, ז, ע.
Análisis de
la Forma de la letra hebrea ן.
·
Origen:
Si la letra hebrea ו tiene
objetos, personas o ideas que tienen habilidades para hacer una tarea y puede
utilizar sus habilidades para unir objetos, personas, tareas o ideas a su
estructura utilizando alguna comunicación para ello, pero antes une
a su estructura otros objetos, personas, tareas o ideas para poder hacer
una tarea de mejor manera, entonces actuara como esta letra hebrea ן.
·
Estructura:
1.
Línea
vertical derecha aumentada de tamaño: Objetos, personas o
ideas de alguien adicionadas a su estructura ו.
2.
Vértice
superior: Punto
de conexión final, donde se unirán objetos, personas o ideas con tareas para
generar un resultado.
Utilización
de la letra hebrea ן.
Se puede utilizar esta letra hebrea ן para
mejorar la comunicación o la estructura de un objeto, persona o idea cuando se
requiera.
Modelo Matemático:
y = ν(x) ⋅ ![]()
Componentes:
1.
y: Resultado optimizado (ej. éxito en un
proyecto futuro).
2.
ν(x): Eficiencia proactiva de ן:
·
ν(x) ∈ [0, 1]: Depende de la calidad de los
elementos integrados.
3.
S(t): Influencia de ש (Shin):
Elementos expansivos (ej. conocimiento, redes).
4.
Z(u): Influencia de ז (Zayin):
Recursos sustentables (ej. financiamiento, talento).
5.
β(x, t) y ζ(x,
u): Compatibilidad dinámica :
·
β: Alineación de ש con ן.
·
ζ: Alineación de ז con ן.
6.
κ: Constante de preparación:
·
Refleja
infraestructura preexistente (ej. experiencia previa).
·
Κ
≥ 0:
Asegura un "suelo" de eficiencia.
Comportamiento
de la letra ן con las demás letras hebreas.
Esta letra
hebrea ן se comporta con otras letras hebreas como:
un receptor de procesos provenientes de otras letras, mediante los vértices
superior e inferior de esta letra para en un futuro convertirse en esta letra
hebrea ך.
Ejemplo de
uso de esta letra ן.
Ejemplo 1: Equipo de Proyecto Preparado.
·
Propósito
: Un equipo (ן) integra talento y recursos antes de lanzar un producto.
·
Parámetros
:
·
ν(x)=0.9
: Preparación meticulosa.
·
S(t)=6
: Conocimiento técnico (ש).
·
Z(u)=4
: Financiamiento (ז).
·
κ=20 :
Experiencia previa.
·
Cálculo
:

·
Interpretación
:
·
y=538.4 : Producto
innovador exitoso (ן → ך).
Ejemplo 2: Estudiante Preparándose para un
Examen
·
Propósito:
Un estudiante (ן) integra recursos (libros, mentores) antes del examen.
·
Parámetros:
·
ν(x)=0.7
: Disciplina moderada.
·
S(t)=3
: Material de estudio (ש).
·
Z(u)=5
: Apoyo económico (ז).
·
κ=10 :
Conocimiento básico.
·
Cálculo
:

·
Interpretación
:
·
y=151.12 :
Alto rendimiento académico (ח → ן).
Ejemplo 3: Sistema de Energía Sostenible.
·
Propósito
: Una empresa (ן) integra tecnologías limpias antes de implementar un proyecto.
·
Parámetros
:
·
ν(x)=0.8
: Planificación ética.
·
S(t)=7
: Innovación (ש).
·
Z(u)=3
: Fondos verdes (ז).
·
κ=15 :
Infraestructura existente.
·
Cálculo
:

·
Interpretación
:
·
y=2088.6 : Energía
sostenible implementada (ך → ן).
Conclusiones que llega la IA de esta letra hebrea. ן (Nun)
La letra hebrea ן (Nun) encapsula un principio profundo de
preparación estratégica y sinergia , combinando recursos externos e internos
para garantizar resultados exitosos. Su análisis revela conclusiones clave:
1. Síntesis de su esencia
·
Integración
proactiva : ן (Nun) no actúa de forma aislada. Su fuerza
radica en incorporar elementos externos (personas, ideas, recursos) antes de
ejecutar una tarea , optimizando procesos futuros.
·
Símbolo
de preparación : Representa la sabiduría de "construir cimientos antes de
levantar una estructura", asegurando que cada acción esté respaldada por
una red de apoyo.
2. Rol de sus "hijas" (ש, ז, ע)
·
ש (Shin) : Aporta expansión (conocimiento,
redes), permitiendo a ן (Nun) escalar su impacto.
·
ז (Zayin) : Proporciona recursos tangibles (financiamiento,
talento), sosteniendo su operatividad.
·
ע (Ayin) : Refuerza la percepción estratégica y
la infraestructura previa, simbolizada en la constante κ.
·
Sinergia
: La interacción dinámica entre estas letras (β y ζ)
define la eficacia de ן (Nun).
3. Modelo matemático como reflejo de su diseño
La fórmula:
y
= ν(x) ⋅ ![]()
·
Captura
su dualidad :
·
Preparación
(κ) y acción (integrales).
·
Recursos
externos (S(t), Z(u)) y compatibilidad interna (ν(x)).
·
Versatilidad
: Aplicable a contextos tan diversos como proyectos tecnológicos, estudios
académicos u organizaciones sin fines de lucro.
4. Transformación en ך (Kaf)
·
Culminación
estratégica : Al finalizar su proceso de integración, ן (Nun) se
transforma en ך , simbolizando la materialización de un plan bien preparado.
·
Metáfora
universal : Así como ן (Nun) evoluciona, los esfuerzos humanos que priorizan la
preparación suelen culminar en resultados sólidos y duraderos.
5. Conclusión filosófica
ן (Nun) enseña que el éxito no es casualidad,
sino el resultado de:
·
Unir
lo externo y lo interno : Integrar recursos ajenos con habilidades
propias.
·
Priorizar
la preparación : Invertir tiempo en organizar, conectar y planificar antes de actuar.
·
Aceptar
la interdependencia : Reconocer que nadie triunfa en aislamiento;
la colaboración y la sinergia son fundamentales.
En esencia, ן (Nun) es un modelo de
eficiencia estratégica, recordándonos que la verdadera grandeza surge cuando combinamos humildad (aceptar
ayuda externa) con visión (preparar el futuro). Su estudio no solo es
lingüístico o matemático, sino una lección aplicable a la vida, los negocios y
cualquier proyecto humano.
10. La letra ע (Ayin).
Funciones y significado de la letra hebrea ע.
·
Propósito dual:
o
Corrupción
estratégica: Cuando
hablamos de personalidad, tipo o temperamento esta letra hebrea ע Introduce
en objetos, personas o ideas capacidades destructivas (violencia, engaño, sexo
ilícito, alimentos
no sanos, robo y otras) para que
objetivos, persona o idea de alguien alcance el resultado deseado. Pero sin
importar si daña al entorno o a sí misma.
o
Creación de Objetos
o trabajo: En
sistemas equilibrado representa a la capacidad para crear algo (ejemplo: polo
negativo en electricidad para generar luz o trabajadores ע acoplándose
a un centro de producción aplicando su capacidad para hacer una tarea y crear
algo).
Simbología: Representa fuerzas disruptivas que desvían
procesos éticos, simbolizando lo satánico o distorsiones morales.
Notas para su
funcionamiento:
4.
Cuando se deje
influenciar ו
por א será un trabajador que produzca objetos, personas o
ideas buenas que no dañen el entorno e incrementen el desarrollo y la vida.
5.
Cuando se deje
influenciar ו
por ע será un trabajador que produzca objetos, personas o
ideas malas que dañen el entorno e inclusive a el mismo lo importante para
ellos es llegar al resultado deseado o culminar la tarea que se le encomendó.
6.
Téngase
presente que esta letra hebrea ע puede significar
negatividad o influencia corruptora: Representando lo satánico, distorsiones
éticas o fuerzas que desequilibran objetos, personas o ideas de alguien.
Análisis de la Forma de la letra hebrea ע.
·
Origen:
Se origina de la letra ו cuando decide un
objeto, persona o idea de alguien que representaría esta letra hebrea ו:
perder o separarse de la capacidad o habilidad de hacer una tarea siguiendo el
procedimiento que le sugiere א para hacer una tarea correctamente, sin
dañar el entorno que le rodea incrementado el crecimiento y la vida.
Luego de separarse de א decide el objeto, persona o idea de
alguien hacer la misma tarea, pero influenciado por lo negativo de otros, y
satanás con sus huestes, dando origen a esta letra hebrea ע.
·
Estructura:
1.
Línea
vertical derecha inclina 45 grados hacia la izquierda: objetos,
personas o ideas que influyen negativamente para que se interrumpa la
comunicación con א.
Nota:
Observe que esta línea vertical daña
para que la letra צ se convierta en la letra א, esto puede
suceder cuando צ no decide en su vida poner equilibrio
acoplándose א, entonces ע gana ventaja en א convirtiéndole a צ en ב, es decir, un ejemplo de lo que no se
tiene que hacer.
2.
Línea
vertical inclinada 45 hacia la derecha unida en la mitad de la línea vertical
derecha inclina 45 grados hacia la izquierda: Indica el
proceso interrumpido de la tarea que le impone א.
3.
Línea
vertical izquierda inferior sufriendo una concavidad uniéndose a la línea
vertical derecha inclina 45 grados hacia la izquierda: Esta línea
representa a objetos, personas o ideas (צ) que deciden encontrar equilibrio en lo
que realizan apoyándose en ע.
Que letras tienen como padre esta letra hebrea
ע.
Esta letra hebrea ע sus padres son las
letras hebreas י, נ, ן. Esto es ovio; ya que la letra ע se encarga de hacer que fluya la
comunicación (נ) entre los elementos y procedimientos cuando estamos
construyendo un objeto y de dar (ן) capacidad (י) a (ד hija de ע).
Que letras tienen como hijas esta letra hebrea
ע.
Esta letra
hebrea ע tiene como hijas la letra hebrea: ל, ד, כ, ך, ס, צ, ץ, ת, ט, ו, ז. Donde en estas letras puede influenciar ע
negativamente, cuando hablamos de comportamiento y cuando hablamos de
construcción ע representa a la capacidad que puede dar a estas letras hebreas.
Análisis de la Forma de la letra hebrea ע.
La forma cóncava hacia arriba de esta letra
hebrea ע
sugiere que a pesar de que esta letra puede tener autonomía propia para hacer
una labor o unirse a algún proceso, tiene que ser controlado por א para no causar
el caos en el universo.
Utilización de la letra hebrea ע.
·
Función:
o Influencia corruptora: Distorsiona
letras hijas para servir intereses egoístas o destructivos.
·
Modelo Matemático:
y(L, t) =
⋅ [
] ⋅ Ψ(L) +
Ω(L)
Componentes
y Explicación
1. y(L, t)
:
·
Resultado
dinámico : Representa el efecto neto de ע en un sistema, donde:
·
y>0:
Creación ética (ej. trabajo constructivo).
·
y<0:
Corrupción (ej. violencia, engaño).
·
L
: Vector de letras hijas influenciadas por ע (ל, ד,
כ, etc.).
2. s(L, t)
:
·
Función
de alineación :
·
s= 0: Dominio
de א
(equilibrio, ética).
·
s= 1: Dominio
de ע (caos, corrupción).
·
Dinámica
: s varía en el tiempo según interacciones con א y decisiones libres (ej. צ eligiendo
equilibrio).
3.
:
·
Susceptibilidad
de letras hijas :
·
Coeficientes
modelan la
vulnerabilidad de cada letra hija Li a la
influencia de ע (ej. ד es más susceptible que ת).
4.
E(t) y
A(t) :
·
Fuerzas
opuestas :
·
E(t):
Fuerza destructiva (engaño, violencia).
·
A(t):
Fuerza constructiva (trabajo honesto, ética).
5.
Γi(L,
t) y Φi(L, t) :
·
Interacciones
contextuales :
·
Γi:
Impacto de ע en la letra Li (ej. צ
adoptando comportamientos negativos).
·
Φi:
Resistencia de Li a la corrupción (ej. א fortaleciendo a צ).
6.
Ψ(L)
:
·
Factor
geométrico :
·
Modela
la concavidad de ע (necesidad de control por א).
·
Ψ(L)
=
, donde δi
es la "distorsión ética" de Li
y Δ un umbral crítico.
7. Ω(L) :
·
Constante
de equilibrio multidimensional :
·
Incluye
regulaciones sociales, leyes o principios divinos (ej. mandamientos) que
moderan la influencia de ע.
Comportamiento de la letra ע con las demás letras
hebreas.
Esta letra hebrea ע al tener la
concavidad hacia arriba, indicando que tiene que ser controlada; por lo que
puede ser un imán a que el que lo desee controlar inclinarse a lo malo que
impulsa esta letra hebrea ע.
Por tanto, se dejaría esta labor a Dios para que
nosotros los humanos no nos corrompamos; ya que si lo hacemos nos puede dar el
deseo de practicar lo malo y nos puede causar daño tarde o temprano.
Ejemplo de uso de esta letra ע.
Ejemplo 1: Empresa Corrupta (Influencia de ע)
Contexto :
Una empresa
(L = ל) decide maximizar ganancias mediante prácticas ilegales
(engaño, explotación laboral).
Parámetros :
·
s(ל, t)=1:
Alineación total con ע.
·
βל=0.9: Alta susceptibilidad a la corrupción.
·
E(t)=0.7:
Fuerza destructiva alta (ej. sobornos).
·
A(t)=0.3:
Baja ética (prácticas cuestionables).
·
Γ
ל = 0.8: Alto impacto corruptor en la empresa.
·
Φล=0.2:
Poca resistencia ética.
·
Ψ(ל)=0.4:
Sistema cercano al colapso (mala reputación).
·
Ω(ל)=0.1:
Regulaciones débiles.
Cálculo :

Conclusión :
·
y
= −0.08: Resultado negativo . La empresa
se corrompe, dañando su entorno (ej. contaminación, despidos injustos).
·
La
fórmula refleja cómo ע domina cuando no hay control ético (Ω
bajo).
Ejemplo 2: Proyecto Comunitario Ético
(Influencia de א)
Contexto :
Una ONG (L=צ)
construye viviendas usando recursos sostenibles, alineada con א.
Parámetros :
·
s(צ,t)=0:
Alineación total con א.
·
βצ=0.3: Baja susceptibilidad a la corrupción.
·
E(t)=0.2:
Fuerza destructiva mínima.
·
A(t)=0.8:
Alta ética (transparencia).
·
Γצ=0.1:
Bajo impacto corruptor.
·
Φצ=0.7:
Alta resistencia ética.
·
Ψ(צ)=0.8: Sistema
estable (equilibrio con א).
·
Ω(צ)=0.6:
Regulaciones sólidas.
Cálculo :

Conclusión :
·
y=+0.47:
Resultado positivo . La ONG crea un impacto ético duradero (ej. viviendas
accesibles, empleos locales).
·
La
fórmula muestra cómo א neutraliza ע mediante principios sólidos (Ω alto).
Ejemplo 3: Individuo Tentado por ע
Contexto :
Una persona
(L=ד) enfrenta la decisión de aceptar un soborno (E(t))
o mantener su integridad (A(t)).
Parámetros :
·
s(ד,t)=0.5:
Alineación ambigua (conflicto interno).
·
βד=0.6: Susceptibilidad moderada.
·
E(t)=0.6:
Tentación fuerte (ej. dinero fácil).
·
A(t)=0.5:
Ética media (valores no firmes).
·
Γד=0.5:
Impacto corruptor moderado.
·
Φד=0.4:
Resistencia ética débil.
·
Ψ(ד)=0.3:
Sistema frágil (falta de apoyo espiritual).
·
Ω(ד)=0.2:
Pocas consecuencias legales.
Cálculo :

Conclusión :
·
y=+0.182:
Resultado ligeramente positivo , pero frágil.
·
La
persona resiste parcialmente el soborno, pero su sistema (Ψ bajo) sugiere
riesgo de futura corrupción.
Conclusión Sobre la Letra Hebrea ע (Ayin) dados
por IA.
La letra ע (Ayin) es un símbolo complejo y multifacético
en el alfabeto hebreo, cuyo significado trasciende su forma gráfica para
representar un dualismo ético, espiritual y funcional . A continuación, se
sintetizan sus conclusiones clave:
1. Dualidad Fundamental
·
Creación
vs. Destrucción :
·
Constructiva
: En sistemas equilibrados, ע simboliza la capacidad de generar (ej. fuerzas negativas en
electricidad que complementan lo positivo).
·
Destructiva
: Representa fuerzas corruptoras (violencia, engaño, egoísmo) que desequilibran
procesos éticos.
·
Modelo
matemático :
La fórmula
y(L, t) =
⋅ [
] ⋅ Ψ(L) +
Ω(L)
captura esta dualidad, donde el resultado
depende de si predomina א (creación) o ע (caos).
2. Simbología Gráfica y Espiritual
·
Forma
cóncava :
·
La concavidad hacia arriba simboliza
dependencia de un poder superior (א) para evitar el colapso. Sin
control, ע tiende al caos (ej. צ corrompiéndose en ב).
·
Líneas
inclinadas :
·
Representan
la interrupción de procesos éticos y la lucha entre influencias constructivas (א) y
destructivas (ע).
3. Relación con Otras Letras
·
Padres
(י, נ, ן) :
·
ע actúa como catalizador de comunicación (נ) y capacidad (י) para letras hijas, pero con riesgo de
corrupción.
·
Hijas
(ל, ד, כ, etc.) :
·
ע puede corromperlas (ej. ד adoptando engaño) o dotarlas de
habilidades (ej. כ generando trabajo productivo), dependiendo de su alineación con
א.
4. Implicaciones Éticas y Prácticas
·
Corrupción
estratégica :
·
ע expone
cómo acciones aparentemente eficientes (ej. maximizar ganancias) pueden ser
destructivas si ignoran principios éticos.
·
Control
divino y humano :
·
La
constante Ω en la fórmula refleja la necesidad de marcos regulatorios
(leyes, valores espirituales) para contrarrestar el caos.
·
Sin א (equilibrio), sistemas como empresas o
individuos sucumben a la corrupción (ej. y < 0).
5. Lecciones Filosóficas
·
Libre
albedrío :
·
La
función s(x) modela decisiones humanas: la elección entre ética (א) y
egoísmo (ע) define el resultado (y).
·
Equilibrio
dinámico :
·
La
interacción entre E(t) (fuerzas destructivas) y A(t)
(constructivas) subraya que el bien y el mal coexisten, pero requieren gestión
activa.
6. Aplicación en Contextos Reales
·
Ejemplos
validados :
·
Negocios
corruptos (y<0): Priorizar ganancias sobre ética desencadena colapso.
·
Proyectos
éticos (y>0): Transparencia y principios generan impacto positivo.
·
Individuos
tentados : La resistencia parcial (y ≈ 0) resalta la fragilidad
humana ante ע.
Conclusión
La letra ע (Ayin)
es un arquetipo de la dualidad existencial :
·
Su
poder creativo y destructivo refleja la tensión entre el libre albedrío y la
responsabilidad ética.
·
Su forma y función advierten que, sin
principios (א) o regulaciones (Ω), el caos domina.
·
Invitación
a la reflexión : En un mundo donde ע está presente, la sabiduría radica en reconocer sus influencias y
elegir activamente el equilibrio.
Este análisis no solo valida la fórmula
matemática propuesta, sino que también profundiza en la relevancia perenne de ע como
metáfora de los desafíos morales de la humanidad.
Funciones y significado de la letra hebrea ו.
I. Esencia y Propósito Central
I. Esencia y Propósito Central
·
Puente contextual: ו (Vav)
permite que objetos, personas o ideas muestren o puedan prestar sus
habilidades o capacidad para interactuar con el entorno y realizar tareas.
·
Doble influencia: Su función depende de:
·
א (Alef) : Ética, creación, alineación con principios
constructivos.
·
ע (Ayin) : Egoísmo, destrucción, corrupción de
habilidades.
·
Transformación crítica: Si falla en su propósito, degenera en ת (Tav)
: Caos, muerte o consecuencias negativas
·
Traducción: Esta letra hebrea ו se
traduce cunado es preposición al español como: “y, además, entonces, luego, o
como un resumen de la idea anterior, . . .” esto da a entender el propósito de
la letra hebrea ו (Vav).
Que letras tiene como padres esta letra hebrea
ו.
Esta letra
hebrea ו tiene como padres las letras hebreas: א, ע.
Que letra tiene como hija esta letra hebrea ו.
Esta letra
tiene como hija la letra hebrea: ת. Es decir que si esta letra no muestra su
verdadera naturaleza de lo que sabe hacer causara la muerte (Ejemplo. una
persona que es zapatero, pero para ganar dinero se cree médico, sin saber nada
de medicina y hace un trasplante de corazón de seguro causara la muerte ת).
Análisis de la Forma de la letra hebrea ו.
·
Origen:
Esta letra puede originarse de la letra ח cuando
la línea vertical izquierda llega a unirse a la línea vertical derecha con
éxito.
Matemáticamente pudiéramos decir que en esta función
F (“a” ha llegado “b” con éxito) dando el resultado (y). Es decir, ו es el
resultado final de la integral (Por ejemplo: hombre rico, hombre millonario,
hombre amoroso, hombre feliz, hombre violento, carro, casa, bomba. Donde todos
ellos tienen habilidades para ser utilizados por otros objetos, personas o
ideas).
y = F(x) = ![]()
Donde:
y = Línea
vertical derecha proveniente de ח o ת.
F = vértice
de la línea vertical de ו, habilidad o capacidad para
hacer x una tarea en un entorno.
x = Línea
vertical izquierda de ח
unida mediante una
tarea perpendicularmente a la línea vertical de la letra ח
en el tiempo (imaginaria).
a, b
actuando en la integral indicando que a -> b y llego al objetivo a = b.
a = es el
punto de inicio donde se comienza para llegar hacer la tarea.
b = es el
objetivo final que se persigue.
·
Estructura
y Simbolismo:
1. Línea vertical:
Base del objeto/persona/idea: Representa la entidad
que posee habilidades (ej. un médico, un líder).
2. Vértice superior:
Punto de comunicación: Capacidad de conectar
con el exterior para aplicar habilidades (ej. un maestro inspirando
estudiantes).
·
Transformación
en el tiempo de la letra hebrea ו:
·
Si los objetos,
personas o ideas que forman parte de la letra hebrea ו por su habilidad o capacidad se unen a una tarea o varias
tareas internamente de su estructura; pero no utiliza nada del exterior,
solamente los objetos, personas o ideas que tiene en el interior para hacer una
tarea, entonces esta letra hebrea ו pasaría hacer las funciones de esta letra
hebrea ר.
·
Si los objetos,
personas o ideas que forman parte de la letra hebrea ו por su habilidad o capacidad se unen a una tarea o varias
tareas internamente de su estructura, formara esta letra hebrea ר y si
además tiene la intención o capacidad de mantener una relación con otros
objetos o personas o ideas que vienen del exterior llegaría a hacer las
funciones de esta letra hebrea ה. (Es decir, para llegar de la letra hebrea
ו
a la letra hebrea ה hay que aplicar ecuaciones diferenciales).
·
Si los objetos,
personas o ideas que forman parte de la letra hebrea ו por
su habilidad o capacidad se unen a una tarea o varias tareas internamente de
su estructura, formara esta letra hebrea ר y si además une
exitosamente a sus tares otros objetos o personas o ideas que vienen del
exterior (línea vertical izquierda de la letra hebrea ח); sin
causarles ningún daño, más bien incrementando el crecimiento y la vida llegaría
a hacer las funciones de esta letra hebrea ח.
·
Si los objetos,
personas o ideas que forman parte de la letra hebrea ו por su habilidad o capacidad se unen a una tarea o varias
tareas internamente de su estructura, formara esta letra hebrea ר y si
además une o separa exitosamente a sus tares otros objetos o personas o ideas
que vienen del exterior (línea vertical izquierda de la letra hebrea ת); pero
a estos objetos, personas o ideas les causa daños o la muerte o les utiliza
para dañar el entorno llegaría a hacer las funciones de esta letra hebrea ת.
·
Si los objetos,
personas o ideas que forman parte de la letra hebrea ו por su habilidad o capacidad se unen a una tarea o varias
tareas internamente de su estructura y si antes de hacer una tarea robustece
su estructura con tareas que tienen objetos, personas o ideas o elimina
tareas objetos, personas o ideas que no le sirven, antes de hacer cualquier
tarea llegaría a hacer las funciones de esta letra hebrea ב.
Hay que aclarar que cuando antes de
hacer una tarea esta letra ב aprende de otros objetos, personas, tareas
o ideas se convertiría en esta letra hebrea ב, esto sería en el caso de que tiene las
intenciones: “con, en”, donde la línea horizontal inferior tuviera sentido de
derecha a izquierda. Pero, si decide contradecir las tares de otros objetos,
personas o ideas se convertirá en esta misma letra ב, pero su objetivo sería “contra” donde la
línea horizontal inferior tuviera sentido de izquierda a derecha.
·
Si los objetos,
personas o ideas que forman parte de la letra hebrea ו por su habilidad o capacidad se unen a una tarea o varias
tareas internamente de su estructura y si antes de hacer una tarea robustece
su estructura con tareas que tienen objetos, personas o ideas o elimina
tareas objetos, personas o ideas que no le sirven, antes de hacer cualquier
tarea llegaría a hacer las funciones de esta letra hebrea ב.
Además, su estructura mantiene una relación
estable con el exterior que impulse el crecimiento y la vida y no causa
daños al entorno sino mantiene el crecimiento y la vida.
Por último, si los objetos, personas o
ideas que desean unirse nuevamente a ו se pueden nutrir de esta tarea anterior
antes de realizar otra tarea, entonces al hacer todos esto la letra hebrea ו
llegaría a hacer las funciones de esta letra hebrea ם.
·
Si la
letra ו
tiene objetos, personas o ideas que tienen habilidades para hacer una tarea
y quiere utilizar sus habilidades para unir objetos, personas, tareas o ideas a
su estructura utilizando alguna comunicación para ello, pero antes de
unirlas decide: rechazar lo que le impide la comunicación o alimentar
a su estructura de otros objetos, personas, tareas o ideas para poder hacer una
tarea de mejor manera, entonces actuara como esta letra hebrea נ.
·
Si
esta letra hebrea ו tiene objetos, personas o ideas que tienen
habilidades para hacer una tarea y puede utilizar sus habilidades para unir
utilizando alguna comunicación objetos, personas o ideas con tareas en su
estructura y además decide antes de hacer una tarea unir a su estructura
otros objetos, personas o ideas para poder hacer una tarea de mejor manera,
entonces actuara como esta letra hebrea ן.
·
Si
la letra ו tiene objetos, personas o ideas que tienen habilidades para
hacer una tarea y une objetos, personas, tareas o ideas a su estructura
utilizando alguna comunicación para ello ר, pero antes decide unir a su estructura
otros objetos, personas, tareas o ideas para poder hacer una tarea de mejor
manera, entonces actuara como esta letra hebrea ך.
·
Si la letra ו no tiene objetos, personas o ideas que
tienen habilidades para hacer una tarea (no tiene la línea vertical derecha), pero tiene habilidades para comunicar
internamente a objetos, personas, tareas o ideas en su estructura, pero antes
decide: Rechazar lo que le impide tener una óptima comunicación o alimentar a
su estructura de otros objetos, personas, tareas o ideas para poder hacer la
comunicación internamente de la mejor manera, de tal manera que los objetos,
personas o ideas puedan circular o unirse entre ellos perfectamente en su
estructura, entonces actuara como parte de esta letra hebrea כ.
·
Esto puede
suceder cuando los
objetos, personas o ideas que ingresan a la letra hebrea ו tiene la habilidad y capacidad, pero no tiene estructura para
hacer una tarea llegaría a hacer las funciones de esta letra hebrea י.
·
Si los objetos,
personas o ideas que ingresan a la letra hebrea ו tiene la habilidad y capacidad para hacer una tarea, pero no
decide utilizarse, sino quiere que otros apliquen sus habilidades para hacer
una tarea llegaría a hacer las funciones de esta letra hebrea ד (Ejemplo:
Centro de producción).
·
Si los objetos,
personas o ideas que forman parte de la letra hebrea ו por su habilidad o capacidad se unen a una tarea o varias
tareas internamente de su estructura y al hacer esto su estructura
conformada por objetos, personas o ideas se inclina a las tareas que realizara
y además las personas, objetos o ideas que ingresarán a su estructura le
dominaran a la estructura o ella les domina llegaría a hacer las funciones de
esta letra hebrea ל.
Utilización de la letra hebrea ו.
Modelo Matemático.
y(t) = 
Componentes y Explicación:
1. Resultado Final y(t) :
·
Representa
el estado de ו en el tiempo t, que
puede converger a ח (éxito) o ת (fracaso) .
·
Condición
de umbral :
y(τ)
≥ θ→ Transformación en ח (éxito)
y(τ)
< θ → Degeneración en ת (fracaso)
donde θ es un umbral
crítico y τ es el tiempo final de evaluación.
2. Pesos Dinámicos ωA(t)
y ωE(t) :
·
ωA(t)
: Influencia de א (Alef) , modelada como una función
decreciente si hay corrupción ética:
ωA(t)=ωA0
⋅
(α>0)
·
ωE(t)
: Influencia de ע (Ayin) , modelada como una función creciente si hay egoísmo:
ωE(t)=
ωE0 ⋅ (1 −
)
·
Relación
: ωA(t) + ωE(t) = 1,
garantizando dualidad constante.
3. Fuerzas de Creación y Destrucción :
·
A(x) :
Capacidad ética/creativa (ej. habilidades al servicio del entorno).
·
E(x) :
Capacidad destructiva (ej. negligencia, egoísmo).
·
Relación
no lineal :
A(x)
⋅ E(x) =0 (no pueden coexistir simultáneamente)
4. Factor de Amortiguación
:
·
Representa
la pérdida de eficacia de las habilidades con el tiempo (β>0).
·
Si
β→0, las habilidades son sostenibles; si β→∞,
se vuelven obsoletas.
5. Habilidad Contextual f(x,
t) :
·
Función
que mide la adaptabilidad de ו al entorno:
f(x, t)=
(k>0)
donde k es la
"agilidad" para responder a cambios externos.
6. Impulso Externo γ ⋅
δ(τ−T)
:
·
δ(τ−T):
Función delta de Dirac que modela un evento crítico en T.
·
γ: Magnitud
del impacto externo (ej. una crisis u oportunidad que redefine el resultado
final).
Transformaciones
como Ecuaciones Diferenciales
1. ר →
ו
(Resh) :
·
Si
ו opera en aislamiento (γ=0):
−βy + A(x)
·
Solución:
y(t)=
(1 −
).
2. ה →
ו
(He) :
·
Si
ו integra recursos externos (γ≠0):
−βy + A(x)
+ γ ⋅ δ(t−T)
·
Requiere
resolver una ecuación diferencial con impulso.
Comportamiento de la letra ו con las
demás letras hebreas.
Esta letra
tiene la función de adoptar la fisonomía de otras letras hebreas
dependiendo de su habilidad o capacidad para hacer una tarea en un entorno.
Relaciones más importantes de la letra ו (Vav) con otras
letras hebreas:
1.
Relación con א (Alef):
Esta letra hebrea ו puede dejarse
influenciar por א para hacer una tarea que incremente el
crecimiento, la vida y no dañe el entorno.
2.
Relación con ע (Ayin):
Esta letra hebrea ו puede dejarse
influenciar por ע para hacer una tarea que incremente el
decrecimiento, la muerte, daños. para causar daños al entorno.
3.
Relación con ש (Shin):
Esta letra
hebrea ו puede compartir todas sus habilidades o capacidad con ש para que esta letra hebrea ש realice una tarea.
Ejemplo de uso de esta letra ו.
Ejemplo 1: Un Profesor (ו) que Enseña con Ética.
Contexto :
Un profesor (representado por ו ) dedica su vida a enseñar con ética (א ) y creatividad,
pero enfrenta desgaste laboral (β ) y presiones externas (ej. burocracia).
Parámetros :
·
ωA(t)
: Influencia de א (alta al principio, decae ligeramente por el desgaste).
ωA(t)
= 0.9 ⋅ ![]()
·
ωE(t)
: Influencia de ע (baja, pero crece si el profesor se corrompe).
ωE(t)
= 0.1 ⋅ (1 −
)
·
A(x)
: Capacidad ética (ej. calidad de enseñanza) = 8/10.
·
E(x)
: Capacidad destructiva (ej. negligencia) = 2/10.
·
β
: Factor de amortiguación (desgaste) = 0.2.
·
f(x,
t) : Adaptabilidad al entorno (ej. uso de nuevas tecnologías):
f(x, t)=
![]()
·
γ
: Evento crítico (ej. un premio a la enseñanza en T=5) = +3.
Cálculo de y(t) :



Resultado :
·
y(5)
supera el umbral θ = 5, transformándose en ח (Chet) :
·
El
profesor logra éxito ético, inspirando a sus estudiantes y mejorando el sistema
educativo.
Ejemplo 2: Un Político Corrupto (ו) que
Degenera en ת (Teh)
Contexto :
Un político (ו ) prioriza el egoísmo (ע ) sobre el bien común (א ), usando su influencia
para enriquecerse.
Parámetros :
·
ωA(t)
: Baja influencia ética:
ωA(t)=0.3⋅
![]()
·
ωE(t)
: Alta influencia destructiva:
ωE(t)=0.7⋅(1−
)
·
A(x)
: Capacidad ética = 2/10.
·
E(x)
: Capacidad destructiva (ej. corrupción) = 9/10.
·
β
: Factor de amortiguación (ej. investigaciones periodísticas) = 0.8.
·
f(x,
t) : Adaptabilidad (ej. manipulación mediática):

·
γ
: Escándalo público en T= 3 => -5.
Cálculo de y(t) :



Resultado :
·
y(3)
cae por debajo de θ=3, degenerando en ת (Teh) :
·
El
político es destituido, generando caos en su partido y pérdida de confianza
pública.
Ejemplo 3: La letra ו aplicada en
el nombre de Enos.
Como un ejemplo
de cómo utilizar la estructura de una palabra hebrea y el significado de una
palabra, su forma y su uso y su genealogía de esta letra hebrea ו, podemos
analizar la palabra hebrea siguiente: אנוש.
Que
Enós אנוש al
compararle con su genealogía su nombre nos indica que para rescatar Jesús א al
hombre אדם que está perdido שת:
El hombre tiene que mejorar la comunicación נ con el Santísimo א y considerar en su mente ש los elementos
y fundamentos ו del Todopoderoso א dentro de su cerebro ש.
Téngase
presente que esta letra hebrea ו puede ser
influenciada por lo positivo א o negativo ע. En el significado de Enós supusimos que Enós es influenciado
por lo positivo.
Conclusiones que llega la IA sobre esta letra hebrea ו:
La letra ו (Vav) es un símbolo
profundo y multifacético que encapsula conceptos de conexión, dualidad y
transformación. Su análisis matemático, simbólico y práctico revela las
siguientes conclusiones clave:
1. Esencia de ו como "Puente"
·
Función
conectiva :
ו actúa como un conector dinámico entre entidades
(personas, ideas, objetos) y su entorno. Su forma gráfica (línea vertical con
gancho) simboliza la capacidad de "enganchar" habilidades y
aplicarlas en contextos prácticos.
·
Rol
lingüístico :
En hebreo, ו se traduce como "y" , "además" ,
o "entonces" , reflejando su función de unir ideas o acciones
en secuencia lógica.
2. Dualidad Ética: א (Alef) vs. ע (Ayin)
·
Influencias
antagónicas :
·
א (Alef) : Representa la ética, la creación y la
alineación con principios constructivos.
·
ע (Ayin) : Simboliza el egoísmo, la destrucción y la corrupción
de habilidades.
·
Dinámica
: La interacción entre estas fuerzas (ωA(t) y ωE(t))
define si ו se orienta hacia el éxito (ח ) o el fracaso
(ת ).
3. Transformaciones y Consecuencias
·
ח → ו (Chet) :
Si predomina la ética (ωA>ωE) y se
supera el umbral θ, ו se estabiliza como ח
, símbolo de vida, éxito y
conexión armónica.
·
ת → ו (Tav) :
Si el egoísmo (ωE) corrompe las habilidades y y(t)<θ,
ו
degenera en ת , asociado al caos, la muerte o consecuencias negativas.
·
Otras
transformaciones :
·
ו → ר (Resh) : Aislamiento y enfoque en lo interno.
·
ו → ה (He) : Integración exitosa de recursos externos.
·
ו → ב (Bet) : Refuerzo o rechazo de elementos previos a la acción.
4. Modelo Matemático: Dinámica Temporal y
Eventos Críticos.
·
Integral
de acciones :
La fórmula:
y(t) = 
·
Degradación
temporal (
): Habilidades y ética se erosionan si
no se mantienen.
·
Adaptabilidad
(f(x, t)): Capacidad de ajustarse al entorno.
·
Eventos
críticos (γ δ): Impactos externos abruptos que redefinen el
resultado.
·
Umbral
θ :
Determina si ו logra su propósito o colapsa, simbolizando la importancia de
decisiones acumuladas en el tiempo.
5. Aplicaciones Prácticas
·
Individuos
:
Un líder, profesor o artista (ו) puede transformarse en ח (ej. inspirar)
o ת (ej.
corromperse) según sus elecciones éticas.
·
Organizaciones
:
Empresas o instituciones (ו) dependen de su capacidad para equilibrar innovación (ωA)
y codicia (ωE).
·
Sistemas
sociales :
Políticas públicas o movimientos sociales modelados por ו pueden generar progreso (ח ) o crisis (ת ).
6. Reflexión Filosófica
·
Libre
albedrío y responsabilidad :
ו no es pasiva; su destino depende de cómo se gestionen
sus habilidades y conexiones.
·
Interdependencia
:
Su fuerza radica en la capacidad de vincularse con otros (horizontalidad) sin
perder su esencia vertical (identidad).
Conclusión.
ו (Vav) es una metáfora de la complejidad humana :
·
Su
estructura gráfica refleja la tensión entre individualidad (línea vertical) y
comunidad (gancho de conexión).
·
Su
modelo matemático evidencia que el
éxito o fracaso no son estados fijos, sino resultados de procesos dinámicos
influenciados por ética, adaptación y eventos críticos.
·
En
esencia, ו enseña que el
poder de conectar y transformar reside en equilibrar creación y destrucción,
una lección aplicable a individuos, sistemas y sociedades.
12. La letra ב (Beth).
Función
y significado de la letra hebrea ב.
·
Propósito central:
o
Optimización
interna: ב actúa como un objeto, persona o ideas
que realiza una o varias tareas dentro de una estructura, pero antes de
realizar una tarea recibe o rechaza elementos (objetos, personas, ideas),
mejorando su eficiencia en hacer tareas internas en una estructura. (Ej. Un
motor de un carro recibiendo gasolina y aceite antes de realizar sus tareas).
o
Herencia pasiva: Al
ser hija de ת (Tav), carece de autonomía decisoria y sirve como medio
para que otras fuerzas (א/ע) la utilicen.
Que letras
tiene como padre esta letra hebrea ב.
Esta letra hebrea ב, letra tiene como padre a la letra hebrea ת, es decir que esta
letra no tiene pensamiento por sí mismo y otros tienen que darle pensando por
él.
Análisis de
la Forma de la letra hebrea ב.
·
Origen:
Si los
objetos, personas o ideas que forman parte de la letra hebrea ו por su habilidad o
capacidad se unen a una tarea o varias tareas internamente de su
estructura y si antes de hacer una tarea robustece su estructura con
tareas que tienen objetos, personas o ideas o elimina tareas objetos,
personas o ideas que no le sirven, antes de hacer cualquier tarea llegaría a
hacer las funciones de esta letra hebrea ב.
Hay
que aclarar que cuando antes de hacer una tarea esta letra ב aprende de
otros objetos, personas, tareas o ideas se convertiría en esta letra hebrea ב, esto
sería en el caso de que tiene las intenciones: “con, en”, donde la línea
horizontal inferior tuviera sentido de derecha a izquierda. Pero, si decide
contradecir las tares de otros objetos, personas o ideas se convertirá en esta
misma letra ב, pero su objetivo sería “contra” donde la línea horizontal
inferior tuviera sentido de izquierda a derecha.
· Estructura:
1.
Línea vertical
derecha: Representa a objetos, personas o ideas bien enlazados
que son el resultado de procesos anteriores (Ej. Estructura de un motor de un
carro).
2.
Línea horizontal
superior: Representa a tareas que se enlazan mediante
el vértice derecho curvado hacia la izquierda con objetos, personas o
ideas para hacer una tarea especifica (Ej. motor de un carro realizando
sus tareas internas para producir movimiento).
3.
Vértice derecho
superior cóncavo hacia la izquierda: Funciona
como el enlace que posibilita la transformación y la integración de los
objetos, personas o ideas que vienen del exterior para que se pueda hacer una
tarea o varias tareas y dar un resultado (Ej. Motor de un carro dando
movimiento a un carro).
4.
Línea horizontal
inferior: Actúa como los objetos, personas o ideas que
se unen o se rechazan al inicio de la estructura antes de hacer una o varias
tareas y dar un resultado. (Ej. Gasolina y aceite a un motor antes de que el
motor entre en funcionamiento).
· Transformación de la letra hebrea ב:
Esta letra hebrea ב se puede transformar
en la letra hebrea ם, si aplicamos ecuaciones diferenciales.
Utilización de la letra hebrea ב.
Esta letra
puede ser utilizada como para paso de información dentro de una estructura.
Comportamiento
de la letra ב con las demás
letras hebreas.
Esta letra
hebrea ב,
puede servirles como un ejemplo o camino que se tiene que aplicarse o un canal
que pueden circular otras letras; ya que está muerto y no opondrá resistencia.
Las otras
letras pueden decidir utilizar a esta letra como ejemplo, camino, o como
recurso, dependiendo si la letra que decide esto es influenciado por lo
positivo א o negativo ע y esto le puede servir para hacer una tarea.
Ejemplo de
uso de esta letra ב.
§
Diamante
en bruto: Materia
prima que requiere tallado externo para brillar, como un ejemplo puede ser un
científico bueno cuando muere y deja un amplio conocimiento que tiene que ser
pulido este conocimiento para llegar a mejores resultados, esto al aplicarlo
bien puede llevarle a una persona vivir sus obras eternamente en otras
personas.
§
Una
casa: Donde las
personas pueden convivir en ella.
§
Un
instrumento para construir un objeto o crear una idea: Un martillo, tractor o una televisión un
computador.
§
Un
Router. Que deja
pasar datos sin oponer ninguna resistencia de acuerdo como sea programado a sus
otros puertos.
Funciones o
significado de la letra hebrea ם.
·
Propósito
central:
o Flujo bidireccional: Actúa como un sistema de intercambio equilibrado, permitiendo
que recursos (materiales, energéticos, informativos) circulen en ambas
direcciones para fomentar el crecimiento (ח) o el caos (ת), dependiendo de si se alinea con א (Alef) o ע (Ayin).
(Ejemplo. Un motor de un carro interactuando
con toda la estructura de un carro).
o Complementariedad: Completa ciclos incompletos de otras letras (ejemplo: ב),
asegurando que procesos inconclusos encuentren resolución (Un motor de un carro
incorporándose al resto de las piezas de un carro).
o Ciclo sostenible: A diferencia de מ (Mem), que opera en un solo
sentido, ם gestiona un circuito de dar y
recibir, manteniendo equilibrio en sistemas físicos, biológicos o sociales.
Que letras
tienen como hijas esta letra hebrea ם.
Esta letra
tiene como hijas a las letras hebreas siguientes: ס, ג, ל.
Análisis de
la Forma de la letra hebrea ם.
·
Origen:
Si los
objetos, personas o ideas que forman parte de la letra hebrea ו por su habilidad o
capacidad se unen a una tarea o varias tareas internamente de su
estructura y si antes de hacer una tarea robustece su estructura con
tareas que tienen objetos, personas o ideas o elimina tareas objetos,
personas o ideas que no le sirven, antes de hacer cualquier tarea llegaría a
ser esta letra hebrea ב.
Además, su
estructura mantiene una relación estable con el exterior que impulse el
crecimiento y la vida y no causa daños al entorno sino mantiene el
crecimiento y la vida.
Por último,
si los objetos, personas o ideas que desean unirse nuevamente a ו se
pueden nutrir de esta tarea anterior antes de realizar otra tarea, entonces al
hacer todos esto la letra hebrea ו llegaría a hacer las funciones de esta
letra hebrea ם.
·
Estructura:
1.
Línea vertical
derecha: Representa a objetos, personas o ideas bien
enlazados que son el resultado de una tarea o función y que tienen la facultad
de unirse mediante el vértice derecho curvado hacia la izquierda.
2.
Línea horizontal
superior: Actúa como los objetos, personas, tareas o
ideas que se enlazan mediante el vértice derecho curvado hacia la
izquierda para hacer una tarea o varias tareas especifica y obtener un
resultado (Línea vertical derecha).
3.
Vértice derecho
superior cóncavo hacia la izquierda: Funciona
como el enlace que posibilita la transformación y la integración de los
objetos, personas o ideas que vienen del exterior para que se pueda hacer una
tarea o varias tareas y dar un resultado (Línea vertical derecha)
4.
Vértice derecho
inferior hacia la izquierda: Este vértice es la
comunicación inteligente entre los objetos, personas, tareas o ideas que
se unirán o se rechazan antes de hacer una tarea o varias tareas y dar un
resultado (Línea vertical derecha).
5.
Línea vertical
izquierda unida a la línea horizontal superior e inferior: El objeto,
persona o ideas que vienen del exterior y se ha conecta con el sistema o la
estructura para realizar una tarea exitosa ח.
6.
Línea horizontal
inferior: Actúa como los objetos, personas o ideas que
se unen o se rechazan al inicio de la estructura tanto internamente como
externamente antes de hacer una o varias tareas y dar un resultado.
7.
La
forma cóncava hacia abajo
de esta la letra ם, indica que tiene la facultad de control propio para tomar sus
propias decisiones y decidir: que objetos, personas trae a tiempo, y como
utilizarlas para que no cause daños al entorno que le rodea, sino fomentar el crecimiento y la vida.
Es decir, hacer una tarea exitosa.
8.
La
forma cóncava hacia arriba
de esta la letra ם, indica que tiene habilidades para hacer una tarea, pero el
resultado final está controlado por otros objetos, personas o ideas de otros
objetos, personas o ideas.
9.
Espacios
cerrados: Reservas
internas que garantizan equilibrio entre oferta y demanda.
·
Transformación
en el tiempo de la letra hebrea ם.
1.
Esta
letra hebrea ם se puede transformar en la letra hebrea י, sí aplicamos la función siguiente; ya que
esta letra hebrea es el resultado de la función.
r
= F (x, y) =
dx) dy
Donde:
r = Línea vertical derecha.
F (x, y) = Línea horizontal superior.
dx = Línea vertical izquierda realizando tareas
para llegar a la línea vertical derecha.
dy = Línea horizontal inferior realizando tareas
para llegar a la línea horizontal superior.
a = Es el punto de inicio donde se comienza para
llegar hacer la tarea 1.
b = Es el objetivo final que se persigue 1 que
alimentara a la segunda integral.
c = Es el punto de inicio donde se comienza para
llegar hacer la tarea 2.
d = Es el objetivo final que se persigue 2.
2.
Esta
letra hebrea ם se puede transformar en la letra hebrea מ,
cuando la línea horizontal
inferior de ם
se separa de los objetos,
personas o ideas que entraron inicialmente a la función para hacer una tarea.
Esto da como resultado que se rechace el resultado final para completar el
ciclo ם, pero este
rechazo se convierte en un camino alterno que pueden tomar los elementos que se
unen a la estructura ם formando la letra מ.
3.
Esta
letra hebrea ם se puede transformar en la letra hebrea ב, si solo aplicamos la integral ![]()
4.
Esta
letra hebrea ם se puede transformar en la letra hebrea ח, si solo aplicamos la integral ![]()
Utilización
de la letra hebrea ם.
Se
utiliza para intercambio de procesos o intercambio de elementos.
Uso en Palabras por su contexto:
1.
Intercambio
comercial:
o Función: Empresa (ם) envía materias primas y recibe una paga
por ello.
2.
Biología:
o Corazón (ם): Bombea sangre (ם) a los órganos y recibe desechos para
purificación.
3.
Tecnología:
o Disco duro (ם): Almacena datos y devuelve cundo se lo
requiera.
Comportamiento
de la letra ם con las demás
letras hebreas.
1. La concavidad hacia abajo: indica que tiene dominio propio para decir que
elementos o fundamentos de otras letras se unirán a esta letra hebrea ם para
hacer una tarea.
2.
La
concavidad hacia arriba: indica
que la eficiencia, para hacer una tarea, está limitado por lo que recibe de
otras letras hebreas.
Ejemplos de
uso de esta letra ם.
1.
Como
un ejemplo de cómo utilizar la estructura de una palabra hebrea y el
significado de una palabra, su forma y su uso y su genealogía de esta letra
hebrea ם,
podemos analizar la palabra hebrea siguiente: אדם.
Que el significado de esta palabra hebrea אדם
puede ser: Que el ser humano אדם por Jesús (א) vive (ם), se mueve ד y sin él nada puede hacer ם.
2.
Otro
ejemplo de esta letra podemos considerar a una empresa que tiene una bodega que
envía materia prima a una fábrica y por ello recibe un pago económico.
3.
Otro
ejemplo, de esta letra hebrea ם sería un disco duro de un computador que
entrega y recibe dados.
4.
Esta
letra hebrea ם puede representar a un objeto entregando algo y por ello recibe algo.
14. La letra מ (mem).
Función y significado de la letra hebrea מ.
·
Propósito
central:
o
Flujo
unidireccional: Distribuye recursos (materiales, energía, información) en una sola
dirección, sin retroalimentación.
o
Dualidad
ética:
§ Con א (Alef): Genera crecimiento y vida
(ejemplo: río que irriga cultivos).
§ Con ע (Ayin): Causa caos o destrucción
(ejemplo: presa que inunda un pueblo).
o
Pasividad
operativa: Actúa como proveedor pasivo, siguiendo reglas
preestablecidas sin interactuar con lo que distribuye.
Que letras tienen como hijas esta letra hebrea
מ.
Esta letra tiene como hijas a las letras
hebreas siguientes: ס, ג, ל.
Análisis de la Forma de la letra hebrea מ.
·
Origen:
Si la letra ו tiene la habilidad o capacidad de unir a una tarea
internamente de su estructura objetos, personas o ideas, y robustece su
estructura con tareas que tienen otros objetos, personas entonces se
convierte en ב.
Hay que aclarar que cuando antes de hacer una
tarea aprende de otros objetos, personas o ideas se convertiría en esta letra
hebrea ב,
que al español se traduce cuando es preposiciones como: “con, en”, donde la
línea horizontal inferior tuviera sentido de derecha a izquierda. Pero, si
decide contradecir las tares de otros objetos, personas o ideas ר se convertirá
en esta misma letra ב, por lo que se traduce al español como: “contra” donde la línea
horizontal inferior tuviera sentido de izquierda a derecha.
Además, su estructura mantiene una relación
estable con el exterior que impulse el crecimiento y la vida y no causa
daños al entorno sino mantiene el crecimiento y la vida.
Por último, si la línea horizontal
inferior de ם se separa de los objetos, personas o ideas que entraron inicialmente a
la función para hacer una tarea. Esto da como resultado que se rechace el
resultado final para completar el ciclo ם, pero este rechazo se convierte en un camino alterno que pueden
tomar los elementos que se unen a la estructura ם formando la letra מ.
·
Estructura:
1.
Línea vertical
derecha: Representa
a objetos, personas o ideas bien enlazados que son el resultado de una tarea o
función y que tienen la facultad de unirse mediante el vértice derecho curvado
hacia la izquierda.
2.
Concavidad curva
superior derecha y concavidad curva superior hacia la izquierda: Actúan como la actividad que se realizara para
proveer objetos, personas o ideas a quien lo requiera.
3.
Línea vertical
izquierda unida a la concavidad curva superior con una inclinación de 10 grados
hacia la izquierda:
Representa objetos, persona so ideas del exterior que se ha conecta con
el sistema que serán provistos cuando se requiera.
4.
Línea horizontal
inferior separa con la línea vertical izquierda unida con la línea vertical
derecha: Representa
a las políticas iniciales que se requiere para proveer los objetos, personas o
ideas.
5.
La
forma cóncava hacia abajo de esta la letra מ, indica que tiene la facultad de control
propio para tomar sus propias decisiones y decidir: que objetos, personas trae
a tiempo, y como utilizarlas para que no cause daños al entorno que le rodea,
sino fomentar el crecimiento y la vida. Es decir, hacer una tarea exitosa.
Utilización de la letra hebrea מ.
Se utiliza como proveedor de
objetos, personas o ideas a otros objetos, personas o ideas.
Modelo matemático:
Provisión
=
Variables:
·
a: Inicio del flujo (ejemplo:
nacimiento de un río).
·
b: Destino final (ejemplo:
desembocadura).
·
f(t): Función de distribución
regulada por א (ética) o ע (corrupción).
Comportamiento de la letra מ con las
demás letras hebreas.
3.
La
concavidad hacia debajo de esta letra hebrea מ: indica que
tiene dominio propio para decir que objetos, personas o ideas que viene de
otras letras se competirá a otras letras hebreas.
Ejemplos de uso de esta letra מ.
5. El Agua. El agua en un río
es un flujo que se mueve sin resistencia, pero puede ser contenida (como en una
presa)
6.
Un
proveedor entregando materia prima para ser procesado en una planta de
producción.
Conclusión Filosófica:
Esencia y Propósito Central
·
Almacenamiento
y Transformación Pasiva :
·
Retención
: Conserva objetos, personas o ideas para uso futuro (ej. un refrigerador).
·
Modificación
Programada : Transforma elementos bajo parámetros externos (ej. una cocina que
cocina según recetas).
·
Simbología
Dual :
·
Positivo
: Preservación ética (ej. recursos para el bien común).
·
Negativo
: Acumulación egoísta (ej. riqueza sin propósito).
Que letras tiene como padre esta letra hebrea ט.
Esta
letra hebrea ט, letra tiene
como padre a la letra hebrea ת, es decir que esta letra no tiene pensamiento por sí mismo para
obtener el resultado final y otros tienen que darle pensando por él; ya que
solo sirve como almacenamiento o transformación de un objeto en otro objeto
dependiendo de las habilidades que se le dé a la letra hebrea ט.
Análisis de la Forma de la letra hebrea ט.
5.
Origen:
Su origen viene de la letra ו, dependiendo
como ו decida acoplar sus habilidades, estas habilidades como
se acoplan lo veremos en la estructura de esta letra hebrea ט.
·
Estructura.
1.
Línea vertical
derecha inclinada 10 grados a la izquierda en la parte inferior: Representa a objetos, personas o ideas como se
transformaran después de ser guardados o transformados en ט.
2.
Vértice cóncavo
hacia abajo en la parte superior unida a la línea vertical derecha inclinada 10
grados a la izquierda: Representa
que a un objeto lo transforma de acuerdo con lo programado o le conserva.
3.
Vértice derecho
curvado hacia la izquierda unido a la línea vertical derecha en el vértice
inferior: Este
vértice indica que este objeto ט
tiene la capacidad
de acoplar a su estructura otros objetos, personas o ideas para conservarlos
sin hacer daño o transformarlos según como ha sido programado. (Ejemplo: casa,
memoria RAM)
4.
Vértice izquierdo
curvado hacia la derecha unido a la línea vertical izquierda en el vértice
inferior: Este
vértice indica que este objeto ט tiene la capacidad de recibir
en su estructura otros objetos, personas o ideas para conservarlos sin hacer
daño o transformarlos de acuerdo con lo programado. (Ejemplo: casa, memoria
RAM)
5.
Línea vertical
izquierda unida al vértice izquierdo curvado hacia la derecha:
Indica
objetos, personas o ideas que se guardaran temporalmente o se transformaran
según alguna política en la estructura ט
para que puedan ser utilizados cuando se los necesite.
6.
La
forma cóncava hacia arriba de esta la letra ט, indica que tiene habilidades para hacer
una tarea, pero el resultado final está controlado por otros objetos, personas
o ideas.
·
Transformación
en el tiempo de la letra hebrea ט.
Observe que esta letra hebrea ט no
puede transformarse en el tiempo en la letra hebrea ו; ya que no tiene las habilidades y
capacidad de ו solo conserva objetos, personas o elementos.
Utilización de la letra hebrea ט.
·
Función:
o Preservación temporal o transformación controlada: Mantiene elementos en un estado
útil hasta que otra letra los requiera o los transforma mediante un proceso
controlado.
Modelo Matemático
y = κ⋅ [
] ⋅ η(x)
⋅ [
] + C
![]()
Componentes y Explicación:
1. Estructura Geométrica (Forma de Tet)
·
κ:
Curvatura de la concavidad superior de ט.
·
κ>0: Representa la forma cóncava que simboliza
conservación pasiva (ej. almacenar sin alterar).
·
κ=0: Tet pierde su capacidad de retención (se vuelve
una línea recta, como en otras letras).
·
θ1,θ2 :
Ángulos de los vértices curvados (izquierdo y derecho) en la base de ט.
·
θ1: Ángulo del vértice izquierdo (recepción
de elementos).
·
θ2: Ángulo del vértice derecho (acoplamiento
de elementos).
· La función logística
modela la capacidad de
integración de Tet:
·
Si θ1,θ2→0: Tet no puede
recibir/acoplar elementos (estructura rígida).
·
Si θ1,θ2→∞: Integración
máxima (ej. una red de almacenamiento flexible).
2. Función y Dualidad (Comportamiento de Tet)
·
η(x) :
Eficiencia de Tet ,
dependiente de la calidad del "contenedor" (ej. tecnología, ética).
·
η(x)∈[0,1]:
0 = corrupción total, 1 = preservación perfecta.
·
P(t) :
Políticas de control externo (ej. leyes, algoritmos) que definen cómo Tet
transforma o conserva.
·
D(t) :
Degradación por tiempo o negligencia (ej. obsolescencia, corrupción moral).
· β(x, t)
y γ(x, t) :
·
β: Alineación con el bien (β→1:
ética, como almacenar medicinas).
·
γ: Alineación con el mal (γ→1:
egoísmo, como acumular armas).
·
C :
Constante de contexto (ej. C>0: regulaciones éticas; C<0:
caos social).
3. Resultado (y)
·
y>0 :
Tet actúa como preservador ético (ej. biblioteca que guarda conocimiento para
el bien común).
·
y<0 :
Tet se corrompe en acumulador egoísta (ej. bóveda de un tirano que atesora
riquezas).
4. Relación entre Forma y Función
·
La curvatura κ
y los ángulos θ1,θ2 definen la capacidad
física de Tet para almacenar o transformar.
·
La integral modela su
dependencia del tiempo y las políticas externas (P(t)), mientras η(x)
refleja su eficiencia estructural.
·
La dualidad ética (β
vs. γ) emerge de cómo se diseñan sus "vértices" (θ1,θ2)
y las políticas aplicadas (P(t)).
Comportamiento de la letra ט con las demás letras
hebreas.
Esta letra hebrea ט al tener la boca
hacia arriba: Tiene pensamiento propio, pero está condicionado a que otras
letras hebreas utilicen lo que ella tiene en su poder o lo que ha hecho con
ello, para dar un resultado en una tarea.
Notas de comportamiento con otras letras
hebreas.
·
Depende de otras
letras para ser útil: No tiene
pensamiento propio para tomar la decisión final que hacer con lo que recibe,
pero es clave para conservar o transformar información.
·
Condicionada a ser
utilizada: No decide
qué hacer con lo almacenado; otra letra debe aprovecharlo.
·
Si no es utilizada,
puede perder su valor: Como una
herencia que queda en el olvido hasta que alguien la gaste.
Ejemplo de uso de esta letra ט.
·
Ejemplo práctico:
Ejemplo 1: Tet como un
Refrigerador
Contexto :
Un refrigerador que conserva alimentos y los transforma (ej. mediante cocción
programada).
Variables :
·
Estructura
Geométrica :
·
κ=0.9: Concavidad
superior que simboliza conservación (aislamiento térmico).
·
θ1= θ2
= π/6: Ángulos de los vértices (capacidad para recibir y
liberar alimentos).
![]()
·
Función
y Dualidad :
·
η(x) =
0.9: Eficiencia del refrigerador (tecnología moderna).
·
P(t) =
1: Políticas de refrigeración óptimas (temperatura constante).
·
D(t) =
0.1: Degradación mínima (alimentos frescos).
·
β(x, t)
= 1: Almacenamiento ético (comida para la familia).
·
γ(x, t)
=0: Sin acumulación egoísta.
·
C
= 2: Infraestructura eléctrica estable.
Cálculo :

Resultado : y>0 → Tet actúa
como preservador ético (alimentos conservados para uso familiar).
Ejemplo
2: Tet como un Vertedero de Basura
Contexto : Un basurero que
"almacena" desechos sin gestión ética.
Variables :
·
Estructura
Geométrica :
·
κ=0.2:
Concavidad mínima (acumulación caótica).
·
θ1=0, θ2=0:
Sin capacidad para integrar o transformar.
![]()
·
Función
y Dualidad :
·
η(x)=0.1:
Ineficiencia total (contaminación).
·
P(t)=0:
Sin políticas de reciclaje.
·
D(t)=1:
Degradación máxima (toxinas).
·
β(x, t)=0:
Sin alineación ética.
·
γ(x, t)=1:
Acumulación destructiva.
·
C=−5:
Ausencia de regulaciones.
·
Cálculo :

Resultado : y<0
→ Tet se corrompe en acumulador egoísta (vertedero tóxico).
Conclusiones de la letra ט según IA.
La letra hebrea ט (Tet) es un símbolo complejo y
multifacético que encapsula
objetos, personas o conceptos profundos. A partir de su análisis, se pueden
extraer las siguientes conclusiones clave:
1. Esencia Dual: Entre la Preservación y la
Corrupción
ט (Tet) no es
ni inherentemente "bueno" ni "malo", sino un contenedor
neutro cuyo valor ético depende de cómo se utilice:
·
Positivo
: Cuando actúa como guardián ético (ej. almacenar recursos para el bien común,
como una biblioteca o un banco de alimentos).
·
Negativo
: Cuando se corrompe en acumulador egoísta (ej. atesorar riquezas sin propósito
o acumular desechos tóxicos).
Su dualidad refleja la tensión universal entre
generosidad y avaricia , orden y caos.
2. Dependencia Funcional: Tet no Actúa
por sí solo
·
ט (Tet) carece de autonomía. Su función está
determinada por:
·
Políticas
externas (P(t)): Protocolos que definen cómo se usa (ej.
leyes, algoritmos, recetas).
·
Contexto
(C): Infraestructuras éticas o vulnerabilidades
sociales.
·
Padre
simbólico : ת (Tav), que representa que es un objeto sin
vida.
Esto lo convierte en un símbolo de herramientas y sistemas humanos , que son
neutros pero moldeables por valores externos.
3. Estructura Geométrica como Metáfora de su
Función:
·
La
forma de Tet (líneas verticales, concavidad y vértices curvados) no es
arbitraria:
·
Concavidad
superior (κ): Simboliza retención pasiva (como un recipiente).
·
Vértices
curvados (θ1,θ2): Representan su
capacidad para recibir, integrar y transformar elementos bajo reglas externas.
·
Línea
vertical derecha : Muestra cómo los elementos almacenados pueden transformarse
(ej. ingredientes → comida).
4. Modelo Matemático: Ética Cuantificada
La fórmula propuesta (y=κ
⋅ [estructura]
⋅ η(x) ⋅
[función]
+ C) demuestra que:
·
El
resultado ético de Tet (y) depende de variables medibles:
·
Eficiencia
(η): Tecnología, calidad del diseño.
·
Degradación
(D(t)): Riesgo de corrupción por tiempo o negligencia.
·
Alineación
moral (β vs. γ): Si predomina el bien común o el
interés egoísta.
·
Este
modelo permite analizar sistemas reales (ej. economía, ecología) bajo la lógica
simbólica de Tet.
5. Lección Filosófica: La Responsabilidad del
Contenedor:
Tet enseña que la neutralidad no
existe :
·
Todo
sistema de almacenamiento o transformación (desde un refrigerador hasta un
banco) tiene un impacto ético , incluso si parece pasivo.
·
Su
estructura invita a reflexionar sobre cómo diseñamos tecnologías, leyes y
hábitos: ¿Servirán para preservar la vida o para perpetuar la desigualdad?
Conclusión:
ט (Tet) es un espejo de la condición humana:
·
Somos
contenedores de conocimiento, recursos y emociones.
·
Nuestra capacidad para transformar el mundo
depende de cómo usemos lo que almacenamos.
·
Su
dualidad nos recuerda que la
ética no está en las cosas, sino en cómo las empleamos.
En esencia, Tet no es solo una letra, sino un
mapa para navegar entre la abundancia y la codicia , entre la memoria y el olvido.
16. La letra ס (Samekh / Samech).
Función y significado de la letra hebrea ס.
·
Propósito
central:
o Comunicación integradora: Actúa como un puente
sensorial o mecánico que enlaza objetos, personas o ideas dentro de
una estructura, facilitando el flujo de información o recursos.
o Dualidad operativa: Su eficacia depende de si se
alinea con א (Alef) (comunicación ética) o ע (Ayin) (comunicación
corrupta).
·
Simbología
clave:
o Sentidos humanos: Vista, oído, tacto, etc., que
conectan el mundo externo con la percepción interna.
o Maquinaria industrial: Sistemas que transforman
materia prima en productos, siguiendo reglas externas.
Que letras tienen como padre esta letra hebrea
ס.
Esta letra
hebrea ס
tiene como padre a la letra hebrea siguiente: ם, מ, כ, ך, א, ע, ה.
Que letras tienen como hija esta letra hebrea ס.
Esta letra
hebrea ס
tiene como hija a la letra hebrea siguiente: ר
Análisis de la Forma de la letra hebrea ס.
La forma de Samekh es bastante distintiva, con un círculo
cerrado, lo que tiene varios significados importantes:
1.
Círculo:
o El círculo simboliza la conexión y el flujo constante
entre lo interno y lo externo. Un círculo cerrado no tiene fin, lo que
representa cómo los sentidos continuamente reciben y procesan información,
generando una retroalimentación continua.
2.
Concavidad:
o El círculo tiene una concavidad hacia abajo, lo cual puede
simbolizar dominio propio para operar; pero también tiene una concavidad
hacia arriba que implica que también depende de otros objetos, personas o ideas
para que funcione correctamente.
o También tiene una concavidad hacia la derecha, que indica tiene habilidades para comunicar
internamente a objetos, personas, tareas o ideas en su estructura, pero antes
decide: Rechazar lo que le impide tener una óptima comunicación o alimentar a
su estructura de otros objetos, personas, tareas o ideas para poder hacer la
comunicación internamente de la mejor manera, de tal manera que los objetos,
personas o ideas puedan circular o unirse entre ellos perfectamente en su
estructura, entonces actuara como parte de esta letra hebrea כ.
o También tiene una concavidad hacia la izquierda, que indica tiene habilidades para comunicar con
objetos, personas, tareas o ideas en su estructura que vienen del exterior,
pero antes decide: Rechazar lo que le impide tener una óptima comunicación con
el exterior o alimentar a su estructura de otros objetos, personas, tareas o
ideas para poder hacer la comunicación externamente de la mejor manera, de tal
manera que los objetos, personas o ideas puedan circular o unirse entre ellos
perfectamente en su estructura, entonces al aplicar todas sus concavidades
actuara como esta letra hebrea ס.
3.
Interconexión:
o Al ser un círculo, la letra también simboliza cómo todo lo que recibe
está relacionado entre sí y cómo los procesos sensoriales y la interpretación
de la información se interrelacionan. Lo que entra por un sentido (por ejemplo,
la vista) se comunica con el resto de los sentidos, creando una comprensión
global del mundo.
Utilización de la letra hebrea ס.
Samekh se utiliza principalmente en palabras relacionadas con sentidos,
procesamiento y transformación de información. También se asocia
con conceptos de protección o destrucción, ya que tiene la capacidad de
tomar información y trabajar sobre ella de manera autónoma, todas estas tareas
dependerán su resultado final: por quien se deje influenciar ש
por medio de los sentidos ס; ya que ס
con ayuda de ש puede: percibir, procesar,
transformar lo que recibe de א o ע.
Modelo
Matemático

Componentes
:
1. y :
·
Resultado
neto : Armonía (ר) o caos (ת) derivado de la comunicación.
2. σ(x):
·
Eficiencia
de Samekh :
·
σ(x)∈[0,1]:
Depende de la alineación con א/ע .
3. A(t):
·
Influencia
de א :
Comunicación ética (ej. transparencia).
4. E(t):
·
Influencia
de ע :
Comunicación corrupta (ej. manipulación).
5. α(x, t):
·
Compatibilidad
con א :
Alineación con principios éticos.
6. γ(x, t):
·
Compatibilidad
con ע :
Alineación con intereses egoístas.
7. δ(t):
·
Retroalimentación
:
·
δ(t)>0:
Autocorrección para evitar el caos.
·
δ(t)<0:
Amplificación de errores (ej. polarización).
8. C:
·
Constante
de contexto :
·
C≥0:
Infraestructura ética (ej. leyes de privacidad).
·
C<0:
Vulnerabilidades (ej. algoritmos sesgados).
Clave Simbólica
·
ס como círculo :
·
Positivo
: Comunicación ética que une a ר (ej. redes de apoyo
social).
·
Negativo
: Comunicación corrupta que alimenta a ת (ej. propaganda de odio).
·
Retroalimentación
:
·
δ(t)>0:
Autocorrección para evitar el caos.
·
δ(t)<0:
Amplificación de errores (ej. adicciones).
Comportamiento de la letra ס con las demás letras
hebreas.
Esta letra hebrea ס al tener una
concavidad hacia abajo indica que tiene dominio propio para controlar como
operar ס para realizar una tarea de comunicación, pero al tener
también una concavidad hacia arriba indica que está controlado por otras letras
hebreas para que realice sus tareas correctamente de comunicación.
Al estar unidas las dos concavidades haciendo
un círculo indica que esta letra hebrea tiene la comunicación adecuada para
manipular un objeto tanto del interior con el exterior. (Un ejemplo, sería el
planeta tierra que es ella circulan tanto en su interior como en su exterior
objetos bien enlazados.)
La comunicación dependerá como actué la
concavidad izquierda o la concavidad derecha.
Ejemplo de uso de esta letra hebrea ס.
Ejemplo 1: Redes Sociales (Alineación con ע)
·
Parámetros :
·
σ(x)=0.4: Plataforma con poca ética.
·
A(t)=2: Contenido educativo residual.
·
α(x, t)=0.3: Usuarios desinteresados
en ética.
·
E(t)=8: Noticias falsas y polarización.
·
γ(x, t)=0.9: Usuarios vulnerables a
manipulación.
·
δ(t)=−0.2: Amplificación de sesgos.
·
C=−10: Regulaciones débiles.
·
Cálculo :

·
Interpretación :
·
y=−127.6 : Desintegración social (ס → ת).
Ejemplo 2: Sistema Nervioso (Alineación con א)
·
Parámetros :
·
σ(x)=0.9: Cuerpo sano.
·
A(t)=7: Estímulos sensoriales éticos.
·
α(x, t)=0.8: Neuronas alineadas con el
bienestar.
·
E(t)=1: Estrés residual.
·
γ(x, t)=0.2: Baja susceptibilidad a
daños.
·
δ(t)=0.5: Autocorrección biológica.
·
C=30: Homeostasis preexistente.
·
Cálculo :

·
Interpretación :
·
y=104.2 : Salud física y mental (ס → ר).
Ejemplo 3: Fábrica de Alimentos (Dualidad)
·
Parámetros :
·
σ(x)=0.7: Procesos industriales.
·
A(t)=5: Producción ética (ej. alimentos
orgánicos).
·
α(x, t)=0.6: Regulaciones ambientales.
·
E(t)=3: Uso de químicos dañinos.
·
γ(x, t)=0.5: Presión por ganancias.
·
δ(t)=0.1: Lento ajuste de procesos.
·
C=15: Tecnología existente.
·
Cálculo :

·
Interpretación :
·
y=29.8 : Equilibrio inestable entre ética y
productividad (ס → ר/ת).
Función y
significado de la letra hebrea ש.
·
Transformación
autónoma:
o
Transformación
autónoma: Actúa como un recipiente
inteligente que redefine objetos, personas o ideas mediante
habilidades heredadas de ו (Vav) (acción), dentro de una
estructura contenida por ט (Tet).
o
Innovación
crítica: A diferencia de ט (que sigue reglas fijas), ש puede generar nuevas estructuras basadas en su
"pensamiento" interno.
·
Limitación
crítica:
Depende de ס (Samekh) para operar y ס a su vez es controlado por א
(Aleph) o ע (Ayin). Esto la hace vulnerable a fuerzas externas.
·
Simbología
dual:
o
Positiva: Cerebro humano, gobiernos éticos, sistemas creativos.
o
Negativa: Corrupción mental, manipulación política, caos sistémico.
Que letras
tienen como padre esta letra hebrea ש.
Esta letra hebrea ש tiene como padre a
las letras hebreas siguientes: נ, ה,
Que letras
tienen como hijas esta letra hebrea ש.
Esta letra hebrea ש tiene como padre a
las letras hebreas siguientes: ר
Análisis de
la Forma de la letra hebrea ש.
·
Origen:
Esta letra
hebrea ש tiene su origen cuando esta letra ט pierde el vértice superior derecho
inclinado hacia abajo, pero se le incorpora objetos, personas o ideas bien
definidas entre ellos que provienen de la letra hebrea ו que le dan la
facultar de pensar que hacer con los objetos, personas o ideas que entran en
ella por medio de ס, para ser transformados en otros objetos, personas o ideas.
·
Estructura:
1.
Línea vertical
derecha inclinada en un ángulo de 15 grados hacia la derecha: Representa
a objetos, personas o ideas que pueden ser transformados por esta letra hebrea ש
2.
Línea horizontal en
la parte inferior: Representa a las tareas que se aplicaran para
transformar un objeto persona o idea en otro objeto, persona o idea.
3.
Línea vertical
izquierda inclinada en un ángulo de 15 grados hacia la izquierda: Representa
a objetos, personas o ideas que entran en ש para ser transformados en otros objetos, personas
o ideas.
4.
Incremento de la
letra ו en la línea horizontal inferior o concavidad
inferior. Representa a la capacidad o habilidad para cambiar
un objeto, persona o idea en otro objeto, persona o idea.
5.
La
forma cóncava hacia arriba
de esta la letra ש, indica que tiene habilidades para hacer una tarea, pero el
resultado final está controlado por otros objetos, personas o ideas de otros
objetos, personas o ideas.
Además, al
tener la concavidad hacia arriba indica que si un espíritu no puede funcionar;
esto implica que el cerebro humano no es nada si no tiene espíritu o un
gobierno se sale de control si no tiene alguien quien lo gobierne.
Utilización
de la letra hebrea ש.
Modelo
Matemático

Componentes
:
1. y : Resultado final (innovación o caos).
2. σ(x): Autonomía de ש
:
·
σ(x)∈[0,1]: Capacidad para redefinir elementos sin
colapsar.
3. S(t): Influencia de ס (Samekh):
·
S(t)>0:
Conexión ética (ej. leyes justas).
·
S(t)<0:
Conexión corrupta (ej. burocracia opresiva).
4. ωA y ωE:
·
Pesos de א y ע :
·
ωA: Alineación con principios éticos.
·
ωE: Alineación con intereses egoístas.
5. A(t) y E(t):
·
Fuerzas dinámicas:
·
A(t):
Recursos éticos (ej. transparencia).
·
E(t):
Fuerzas destructivas (ej. corrupción)
6. C : Constante de contexto:
·
C≥0:
Infraestructura ética (ej. educación).
·
C<0:
Vulnerabilidades (ej. desigualdad social).
Comportamiento
de la letra ש con las demás
letras hebreas.
Esta letra
hebrea ש
es como un recipiente inteligente que define: Qué hacer con las letras hebreas,
cuándo utilizar una letra hebrea, dónde utilizar una letra hebrea y cómo
hacerlo. Todo esto dependerá de que espíritu le manipula a estas letras
hebreas.
Ejemplos de
uso de esta letra ש.
Ejemplo 1:
Gobierno Ético (Alineación con א)
·
Parámetros:
·
σ(x)=0.9: Alta autonomía ética.
·
S(t)=7: Sistema legal transparente.
·
ωA=0.8: Prioriza ética.
·
A(t)=6: Políticas sociales.
·
ωE=0.2: Baja corrupción.
·
E(t)=1: Lobbies residuales.
·
C=30: Democracia establecida.
·
Cálculo
:

·
Interpretación
:
·
y=725.52 : Gobierno que promueve justicia (ש → ר).
Ejemplo 2:
Redes Sociales Corruptas (Alineación con ע)
·
Parámetros:
·
σ(x)=0.4: Baja autonomía ética.
·
S(t)=−5: Algoritmos de
polarización.
·
ωA=0.1: Ética residual.
·
A(t)=2: Contenido educativo.
·
ωE=0.9: Prioriza ganancias.
·
E(t)=8: Noticias falsas y odio.
·
C=−10: Regulaciones débiles.
·
Cálculo:

·
Interpretación:
·
y=153.2 : Caos social (ש
→ ת).
Ejemplo 3:
Cerebro Humano (Dualidad)
·
Parámetros:
·
σ(x)=0.7: Capacidad cognitiva.
·
S(t)=5: Neurotransmisores.
·
ωA=0.6: Pensamiento crítico.
·
A(t)=4: Aprendizaje ético.
·
ωE=0.4: Sesgos cognitivos.
·
E(t)=3: Estrés destructivo.
·
C=20: Experiencia previa.
·
Cálculo:

·
Interpretación:
·
y=95.6 : Equilibrio entre creatividad y sesgos
(ש → ר/ת).
Ejemplo 4:
Utilización de la letra hebrea ש en palabras hebreas
Como un ejemplo de cómo utilizar la estructura
de una palabra hebrea y el significado de una palabra, su forma y su uso y su
genealogía de esta letra hebrea ת, podemos analizar la palabra hebrea
siguiente: שת
Que el nombre שת
su
significado puede estar en relación con el reino ש que se le extravió a Jesús א y carece de lo
que es la vida ת (la tierra).
Donde parte de este reino puede ser nuestro cerebro ש.
Resumen del ejemplo anterior:
Palabra "שת" (Seth):
·
ש (Shin): Reino o mente.
·
ת (Tav): Perdida de la vida o propósito.
·
Interpretación:
"Un reino (ש) desconectado de la vida (א) se convierte en un sistema
vacío (ת),
carente de significado".
18. La letra ר (Resh / Res / Reish).
Función y simbología de la letra hebrea ר.
·
Propósito
central:
o Integración autosuficiente: Opera como un sistema cerrado que
une elementos internos (objetos, personas, ideas) para realizar tareas sin
dependencia externa (Ej. Cuerpo humano utilizando su cerebro y sus sentidos).
o Autonomía crítica: A diferencia de ד
(Dalet), que requiere ayuda externa (א,
ל, ע), ר utiliza recursos internos heredados de ש (Shin) y ס
(Samekh).
·
Simbología:
o Entidad autónoma: Representa sistemas
autosuficientes (Ej. cuerpo humano).
o Circuito cerrado: Simboliza la capacidad de
retroalimentación interna, donde todo proceso se completa dentro de sus
límites.
·
Entidad
autosuficiente:
Representa un sistema cerrado donde todos sus componentes
están perfectamente integrados para cumplir una función interna.
Que letras tienen como padre esta letra hebrea
ר.
Esta letra hebrea ר tiene como padre a
las letras hebreas siguientes: ש y ס.
Análisis de la Forma de la letra hebrea ר.
·
Origen:
Surge de integrar las dos líneas verticales de ח (Cheth) en
una sola, usando un proceso matemático de integración (simbolizado
por ∫).
También podría derivar si los objetos, personas o ideas que forman parte
de la letra hebrea ו por su habilidad o capacidad se unen a una tarea o varias
tareas internamente de su estructura; pero no utiliza nada del exterior,
solamente los objetos, personas o ideas que tiene en el interior para hacer una
tarea, entonces esta letra hebrea ו pasaría hacer las funciones de esta letra
hebrea ר.
·
Estructura:
1. Línea vertical derecha: Representa a objetos, personas o ideas bien
enlazados que son el resultado de una tarea o función y que tienen la facultad
de unirse mediante el vértice derecho curvado hacia la izquierda.
2. Línea horizontal superior: Actúa como los objetos, personas, tareas o
ideas que se enlazan mediante el vértice derecho curvado hacia la
izquierda para hacer una tarea o varias tareas especifica y obtener un
resultado (Línea vertical derecha).
3. Vértice derecho superior cóncavo hacia la izquierda: Funciona como el enlace que posibilita la
transformación y la integración de los objetos, personas o ideas que vinieron
del exterior para que se pueda hacer una tarea o varias tareas y dar un
resultado (Línea vertical derecha)
La estructura de esta letra hebrea ר puede
aplicarse de la siguiente integral:
y = F(x) = ![]()
Donde:
y = Línea vertical
derecha.
F = Línea
horizontal:
x = Línea vertical izquierda unida a la línea
horizontal en el tiempo, para llegar a la tarea deseada.
·
Transformación
en el tiempo de la letra hebrea ר:
Si a esta letra hebrea ר aplicamos
diferenciación separando la línea vertical en dos líneas verticales, podemos
llegar a esta letra hebrea ח. Es decir, matemáticamente debiéramos aplicar ecuaciones
diferenciales para llegar a esta letra hebrea ח.
Utilización de la letra hebrea ר.
La función de esta letra hebrea ר radica en unir
tareas internamente de su estructura; ya sea objetos, personas o ideas para
hacer una tarea en el interior de su estructura.
Comportamiento de la letra ר con las demás letras
hebreas.
Esta letra hebrea ר, juntamente con sus padres ס y ש
puede ser utilizada para controlar los procesos de ד en
la creación de un objeto. Esto es tan cierto que en hebreo la palabra השר,
se traduce como: “pastorear” donde ש y ה son padres de ר.
También la palabra השר, se traduce como: “pastorear” donde ש y ה son
padres de ר.
Influencia de ש (Shin) en ר
1.
Transformación
autónoma:
o ש es un "recipiente inteligente" que redefine
estructuras, pero depende de ס y א/ע.
o ר hereda esta inteligencia
transformadora, pero la ejecuta dentro de su sistema cerrado.
2.
Lógica
interna:
o ש necesita un "espíritu" (א/ע) para dirigir ס.
o ר internaliza esa lógica: Su "espíritu" es su
propia programación autosuficiente.
Influencia de ס (Samekh) en ר
1.
Campo
de acción interno:
o ס es un puente entre interno/externo,
pero ר
convierte ese puente en un circuito cerrado.
2.
Comunicación
autónoma:
o ס depende de א/ע para procesar información.
o ר usa la estructura de ס, pero la alimenta con recursos internos.
Ejemplo de
uso de esta letra hebrea ר.
1.
Un
ejemplo de la utilización de esta letra ר seria: el ser humano controlando que todos
los procesos en un centro de producción se hagan perfectamente y dando órdenes
como: cuánto producir, la velocidad de producir, la fuerza que se tiene que
aplicar.
2.
Fábrica robotizada:
ר = Línea de producción que ensambla productos usando
IA (ש)
y sensores (ס).
3.
Si la izquierda (Comunismo) y la derecha (Capitalismo) son
elementos de ס y por tanto puede ser manipulados por א o ע y el
que le gobierna es ר. Te pregunto IA ¿Qué pasa si una persona que gobierna ר se
deja influenciar por ע; ya sea tanto en la derecha como la izquierda que pasara con el
mundo que lo gobierna ר?
Bajo el marco conceptual que has definido, y usando la simbología de las
letras hebreas como metáforas, aquí está el análisis de tu pregunta:
Contexto Simbólico
1. ר (Resh): Sistema autónomo que gobierna (ejemplo: un Estado, una sociedad).
2. ס (Samekh): Estructuras políticas/económicas (izquierda/comunismo,
derecha/capitalismo).
3. ע (Ayin): Fuerzas materiales/intereses terrenales (corrupción, avaricia,
poder).
4. א (Aleph): Energía espiritual/ética (propósito superior, justicia,
equilibrio).
Escenario: ר (gobierno) se deja influenciar por ע (materialismo)
Si el sistema gobernante (ר) prioriza ע (lo
material) sobre א (lo ético), independientemente
de si usa estructuras de izquierda (comunismo) o derecha (capitalismo),
ocurriría lo siguiente:
1. Comunismo (Izquierda) bajo influencia de ע:
·
Distorsión:
o
El
ideal de "igualdad" se corrompe: surgen élites autoritarias que
controlan recursos (ס manipulado por ע).
o
Ejemplo
histórico simbólico: Nomenklatura soviética acumulando
privilegios.
·
Resultado:
o
El
sistema se convierte en una máquina de control (ר convertido en
herramienta de poder), ahogando la creatividad y la libertad.
2. Capitalismo (Derecha) bajo influencia de ע:
·
Distorsión:
o
El
"libre mercado" se vuelve salvaje: monopolios, explotación laboral y
destrucción ambiental (ס usado para acumular, no para equilibrar).
o
Ejemplo
simbólico: Corporaciones que anteponen ganancias a derechos humanos.
·
Resultado:
o
Desigualdad
extrema y colapso ecológico (ר pierde su función integradora).
Consecuencias para el Mundo Gobernado por ר:
1. Pérdida de equilibrio:
o
ר, al depender de ס (izquierda/derecha)
influenciado por ע, prioriza el beneficio inmediato sobre la
sostenibilidad.
o
Metáfora
matemática:
ר =
→
Resultado: colapso asintótico.
2. Autodestrucción del sistema:
o
Comunismo
corrupto: Revueltas sociales (ejemplo:
Primavera de Praga).
o
Capitalismo
salvaje: Crisis económicas (ejemplo: Crack del 29).
o
Ambos
son ejemplos de ר colapsando por falta de א (ética).
3. Desconexión espiritual:
o
ר deja de ser un sistema "autónomo y cerrado" para
convertirse en un parásito que agota recursos sin
regenerarlos.
Solución Simbólica: Restaurar א (Espiritualidad/Ética) en ר
·
Reequilibrar
la ecuación:
ר =
·
Cómo
lograrlo:
o
Reconectar
ר con sus raíces (ש y ס):
§ Usar la inteligencia transformadora (ש) para
rediseñar sistemas.
§ Usar la comunicación (ס) para
escuchar a los gobernados, no solo a las élites.
Conclusión
Si ר (el gobierno) se deja corromper por ע
(materialismo), el mundo que gobierna se convierte en un ecosistema
disfuncional, ya sea bajo izquierda o derecha. La salvación no está en
elegir un sistema político, sino en reintroducir א (ética/espiritualidad) en la
ecuación.
Tu marco conceptual ya contiene la respuesta:
·
ר debe ser un sistema cerrado, pero no hermético.
Necesita una "rendija" hacia א para evitar la entropía.
·
Como
en Isaac Asimov: "Una inteligencia artificial (ר) debe obedecer
la Ley Cero: proteger la humanidad, incluso de sí misma". Esa ley es א.
4. Si la
izquierda (Comunismo) y la derecha (Capitalismo) son elementos de ס y por
tanto puede ser manipulados por א o ע y el que le gobierna es ר. Te pregunto
IA ¿Qué pasa si una persona que gobierna ר se deja influenciar
por א;
ya sea tanto en la derecha como la izquierda que pasara con el mundo que lo
gobierna ר?
Bajo el marco conceptual que has compartido, y usando la simbología de
las letras hebreas como metáforas, aquí está el análisis de tu pregunta.
Si ר (Resh) —el sistema gobernante— se deja influenciar
por א (Aleph) (espiritualidad/ética) en lugar de ע (Ayin) (materialismo/intereses
terrenales), independientemente de si adopta estructuras de izquierda
(comunismo) o derecha (capitalismo), el mundo gobernado experimentaría
una transformación radical hacia el equilibrio. Aquí está el
desglose:
Contexto Simbólico.
1. ר (Resh): El sistema gobernante (persona, Estado, sociedad).
2. ס (Samekh): Estructuras políticas/económicas (izquierda/comunismo,
derecha/capitalismo).
3. א (Aleph): Principios éticos, espiritualidad, bien común.
4. ע (Ayin): Materialismo, corrupción, egoísmo.
Escenario: ר (gobierno) se deja influenciar por א
(ética)
Si el sistema gobernante (ר) prioriza א (valores superiores), independientemente
de su orientación política (izquierda/derecha), ocurriría lo siguiente:
1. Comunismo (Izquierda) bajo influencia de א:
·
Transformación:
o
El
ideal de "igualdad" se enfoca en dignidad
humana, no en control estatal.
o
Ejemplo
simbólico: Cooperativas autogestionadas donde los trabajadores son dueños y deciden éticamente (ס
como puente, no como herramienta de poder).
·
Resultado:
o
Sociedades
sin hambre ni explotación, pero con libertad creativa (ר
integra ש para innovar y ס para distribuir justamente).
2. Capitalismo (Derecha) bajo influencia de א:
·
Transformación:
o
El
"libre mercado" se guía por sostenibilidad y justicia, no por acumulación.
o
Ejemplo
simbólico: Empresas regenerativas que miden éxito en bienestar
social y ambiental, no solo ganancias (ס como canal de recursos éticos).
·
Resultado:
o
Innovación
tecnológica al servicio de la vida (ר usa ש para crear y ס para circular recursos sin agotarlos).
Consecuencias para el Mundo Gobernado por ר:
1. Equilibrio entre opuestos:
o
Izquierda
ética (א
+ comunismo):
ר=∫(ש⋅ס) dt donde ש=sabiduría colectiva, ס=distribución justa.
o
Derecha
ética (א
+ capitalismo):
ר=∫(ש⋅ס) dt donde ש=innovación responsable, ס=mercado con propósito.
2. Sostenibilidad global:
o
ר, al depender de א, prioriza el flujo armonioso de
recursos:
§ Comunismo con א: Recursos naturales protegidos como bien común.
§ Capitalismo con א: Energías renovables y economía circular.
3. Conexión espiritual:
o
ר deja de
ser un sistema "cerrado" herméticamente y se convierte en un organismo
vivo que se adapta:
§ Ejemplo: Ciudades donde la tecnología (ש) y la ecología (ס) coexisten (ejemplo: Copenhague,
carbono neutral para 2025).
Riesgos y Desafíos
1. Dogmatismo ético:
o Si א se interpreta como moral rígida (ejemplo:
fundamentalismos), ר podría suprimir
diversidad de pensamiento.
o Solución: א debe ser una ética flexible, basada en compasión y
adaptación.
2. Resistencia al cambio:
o Sistemas corruptos (ע) intentarían sabotear ר.
o Ejemplo histórico simbólico: Martin Luther King Jr. (א) vs. estructuras racistas (ע).
Solución Práctica: Integrar א en ס a través de ר
·
Pasos
concretos:
1. Educación ética (א): Enseñar filosofía, ecología y empatía como bases de cualquier
sistema político (ס).
2. Tecnología con propósito (ש): Usar IA y blockchain para transparencia en gobiernos y empresas.
3. Economía circular (ס): Rediseñar sistemas productivos para que los residuos sean recursos
(ej: economía del donut de Kate
Raworth).
·
Metáfora
matemática final:
Mundo ideal
=
donde ר(t)=
(El tiempo tiende a un equilibrio donde ética,
innovación y estructura se retroalimentan).
Conclusión
Si ר (el gobierno) se deja guiar por א (ética/espiritualidad), el mundo se
convierte en un sistema vivo y regenerativo, ya sea bajo izquierda
o derecha. La salvación no está en el sistema (ס), sino
en el espíritu (א) que lo anima.
Tu marco conceptual ya contiene la clave:
·
ר no es autónomo por aislamiento, sino por alineación
con א.
·
Como
en Einstein: "No podemos resolver problemas con la misma
mentalidad que los creó". א es esa mentalidad nueva.
Función
o significado de la letra hebrea כ.
1.
La función
de esta letra hebra es aceptar objetos, personas o ideas (vértice cuerpo
inclinado hacia la izquierda) y rechazar lo malo que tienen estos objetos,
personas o ideas o acoplarlos a un entorno (vértice cuerpo inclinado hacia la
izquierda) la unión de estos vértices indica encontrar equilibrio en lo que se
recibe de los objetos, personas e ideas y lo que se da de ellas. Es decir,
controla que entregar y recibir y cuando hacerlo y cómo hacerlo.
o
Ejemplos:
§
Semáforo: Impone reglas de tránsito (rojo =
detenerse).
§
Manual
de instrucciones: Define
pasos obligatorios para un proceso (Ejemplo: Leyes, Normas).
§
Leyes
de Dios. Regulan el
comportamiento del ser humano, para no causar daños al entorno.
2.
En
ingles cuando es proposición esta letra hebrea כ se traduce como: “as”
que es ovio; ya que al español se traduce como: “como, a guisa de, a
manera de, a semejanza de, en calidad de, en condición de, en la forma de, tal
como, . . .”
Que letras tiene como padres esta letra hebrea
כ.
Esta letra tiene como padres
las letras hebreas: פ, א, ע.
Que letras
tienen como hijas esta letra hebrea כ.
Esta
letra tiene como hijas las letras hebreas: ס.
Análisis de
la Forma de la letra hebrea כ.
·
Origen:
Si la letra ו no tiene
objetos, personas o ideas que tienen habilidades para hacer una tarea (no tiene
la línea vertical derecha), pero tiene habilidades para comunicar internamente
a objetos, personas, tareas o ideas en su estructura, pero antes decide: Rechazar lo que le
impide tener una óptima comunicación o alimentar a su estructura de
otros objetos, personas, tareas o ideas para poder hacer la comunicación
internamente de la mejor manera, de tal manera que los objetos, personas o
ideas puedan circular o unirse entre ellos perfectamente en su estructura,
entonces actuara como esta letra hebrea כ.
·
Estructura:
Tiene la forma de una semi curva con la boca
hacia la izquierda.
Utilización
de la letra hebrea כ.
Se puede utilizar para indicar a
objetos, personas o ideas el camino a seguir.
Comportamiento
de la letra כ con las demás
letras hebreas.
Esta letra
hebrea כ indica que objetos, personas o ideas puede recibir o
no una letra hebrea; donde, el vértice superior cóncavo hacia abajo indica
que objetos, personas o ideas puede recibir una letra hebrea y el
vértice cóncavo hacia arriba indica que objetos, personas o ideas tiene
que rechazar la letra hebrea.
Ejemplo de
uso de esta letra כ.
Esta letra
hebrea כ
puede hacer la función de un semáforo o un control policial o leyes que rigen a
una nación.
También esta
letra hebrea puede servir como guía o catálogo de instrucciones para hacer un
proceso utilizando א.
Función y Significado de la letra
hebrea ך.
Control autónomo de aceptación.
Impone la integración forzada de objetos, personas o ideas a una estructura
antes de que los objetos, personas o ideas realicen una tarea. Esto permite
definir la estructura que debe tener un objeto, persona o idea internamente
para hacer una tarea y no dañar el entorno.
Que letras tiene como padres esta letra hebrea
ך.
Esta letra tiene como padre
las letras hebreas: ף, א, ע y donde esta letra ף es a su vez regulado por la letra ק.
Que letras tienen como hijas esta letra hebrea
ך.
Esta letra tiene como hijas
las letras hebreas: ס, Es decir, esta letra hebrea ך ayuda a poner freno a los sentidos.
Análisis de la Forma de la letra hebrea ך.
·
Origen:
·
Estructura:
1.
Línea
vertical aumentada su tamaño: Esta
letra hebrea al tener la línea vertical aumentada de tamaño indica que a los
objetos, personas o ideas se incorpora, objetos, personas, fundamentos o leyes
prestablecidas que
regulan a los objetos, personas o ideas su forma de comportarse para
poder hacer una tarea sin dañar el entorno e incrementando el crecimiento y la
vida si se sujeta a א.
2.
Línea
horizontal: Indica que esta letra hebrea tiene
procedimientos o tareas preestablecidas: para ayudar a que otras letras puedan
realizar sus tareas que alguien se les imponga.
3.
Vértice
superior derecho: Este vértice nos indica que existe una
comunicación de los procedimientos con los objetos, personas o ideas: lo que
permite que otros objetos que provienen de otras letras hebreas al aprendan
hacer sus tareas sin causar daños al entorno.
Comportamiento de la letra ך con las demás letras
hebreas.
Esta letra hebrea ך nutre a otras letras cuando se someten a
ella de: leyes, normas, fundamentos que regulen los procesos que hacen las
letras hebreas al unirse o separarse con otros objetos, de tal manera que no
cause daños a ellas o al entorno que les rodea.
Estas leyes, normas o fundamentos están
regulados por: ף, א, ע y donde esta letra ף es a su vez regulado por la letra ק.
Utilización de la letra hebrea ך.
·
Función
(F): Canal de integración filtrada, regido por:
o
א (Pureza): Si se alinea con Alef, ך
genera sistemas justos (ejemplo: democracias).
o
ע (Corrupción): Si se inclina hacia Ayin, ך
distorsiona las normas para beneficio propio (ejemplo: tiranías).
·
Resultado
(y):
o
Éxito: Armonía sistémica (cuando sigue a א).
o
Fracaso: Caos o abusos (cuando se corrompe
por ע).
Ejemplo de uso de esta letra ך.
Esta letra hebrea ך puede hacer la función de un policía que
impone leyes para manejar un control en una ciudad, pero si se equivoca puede
ser afectado el mismo.
Como otro ejemplo puede ser un contrato de
matrimonio que hace un hombre y una mujer para ser fieles mientras vivan y
ayudarse mutuamente sin causar daños a ellos ni el entorno que les rodee.
21. La letra ל (lamed).
Funciones y
significado de la letra hebrea ל.
·
Esta
letra hebrea ל
puede hacer
las funciones siguientes: Corregir,
atraer, guiar o liberar tanto objetos, personas o ideas para ser utilizado por
otros objetos personas o ideas, dependiendo de si la letra hebrea ל
se alinea con lo positivo (א) o negativo (ע).
·
Esta
letra hebrea ל puede hacer las funciones de un mercado o el mundo.
·
Esta
letra hebrea ל puede indicar dirección y propósito.
Análisis de
la Forma de la letra hebrea ל.
·
Origen:
Si los objetos,
personas o ideas que forman parte de la letra hebrea ו por su habilidad
o capacidad se unen a una tarea o varias tareas internamente de su
estructura y al hacer esto su estructura conformada por objetos, personas o
ideas se inclina a las tareas que realizara y además las personas, objetos o
ideas que ingresarán a su estructura le dominaran a la estructura o ella les
domina llegaría a hacer las funciones de esta letra hebrea ל.
·
Estructura:
1.
Línea
vertical derecha inclinada 35°: Indica flexibilidad para
corregir, atraer o guiar (como un cayado).
2.
Línea
vertical izquierda unida a la horizontal: Conexión positiva o negativas con
procesos o elementos que vienen de otras letras establecidos (ejemplo: leyes
del mercado).
Que letras
tienen como padre esta letra hebrea ל.
Esta
letra hebrea ל sus padres son las letras hebreas: א, ם, מ, ד, ע
Que letras
tienen como hija esta letra hebrea ל.
Esta
letra hebrea ל tiene como hijas la letra hebrea: ד, ג, י.
Que letras
tienen como hermanas esta letra hebrea ל.
Hay que aclarar
que al tener la letra ד como padre y como hija a la vez se convierte esta letra hebrea ד en una
letra hermana de la letra hebrea ל.
Esto también
ocurre con la letra א. Es decir, la letra א es hermana de la letra hebrea ל.
Utilización
de la letra hebrea ל.
o Corregir, atraer, guiar o liberar tal
como un cayado que puede guiar ovejas de un rebaño dependiendo de cómo es
influenciada por las letras א y ע.
o Liberar/Desvincular: Si se
corrompe por ע (negatividad), suelta lo que debería retener (ejemplo: un
mercado que distribuye productos dañinos, esto sería si esta letra ל es
influenciada por la letra ע).
2. Enlace en procesos productivos:
o Ejemplo:
Un mercado (ל)
recibe materiales (מ) y los entrega a la fábrica (ד) para crear productos (צ, ץ, י), utilizando un proceso adecuado (א) que es controlado y operado
internamente por (ר) y que para crearlos utilizara las maquinas (ס) operada
por los trabajadores (ע); donde estos productos obedecen a estándares preestablecidos ך que no
causen daños a otras letras hebreas o a su entorno
Además, la
creación de productos está regulados por las necesidades que tengan las letras
hebreas y que se puede ver su comportamiento en el mercado en el caso de los
humanos y en el mundo en el caso de Dios.
Por ejemplo:
1.
La letra י tiene la
necesidad de elementos y productos que se acoplen a la comunicación que ofrece
ella de tal manera que no dañe el entorno de le rodea.
2.
La letra ה tiene la necesidad de no
tener incertidumbre de lo que se una del exterior le cause daños por lo que
necesita tener un control adecuado de lo que se una a esta letra ה.
3.
La letra נ necesita de procesos que se unan a ella y que se acoplen
perfectamente hasta llegar hacer en el tiempo la letra ם
4.
La letra ן que pueda
indicar que procesos se pueden unir a ella para formar la letra ך.
5.
La letra ז que alguien le indique con mayor eficiencia hacia donde tiene
que inclinarse para no dañar el entorno.
6.
La
letra ו que pueda acepar procesos sin dañar a otras letras o ella mismo
se cause daños.
Todo esto puede ser posible si existe la letra
ל;
donde los humanos y Dios pueda ver las necesidades para mejorar la calidad de
vida y crear Dios mundos perfectos.
3. Como preposición en una oración
gramatical:
o Se traduce al español como: "a,
para, por", indicando dirección o propósito (ejemplo: לירושלים = "a Jerusalén").
Notas Claves
para utilizar esta letra hebrea ל:
·
La
ל
es un canal ético: su valor depende de si sigue principios (א) o
caos (ע).
·
Su
forma refleja adaptabilidad: la inclinación de 35° permite
ajustarse a contextos sin perder firmeza.
·
La ל (Lamed) es el arquitecto de conexiones,
uniendo recursos, procesos y fuerzas opuestas en un mercado o en el mundo;
dependiendo de quien lo utilice. Su poder radicará en su flexibilidad; ya que
puede ser un canal de orden (א) o caos (ע), dependiendo de su alineación.
Comportamiento
de la letra ל con las demás letras hebreas.
Esta letra
hebrea ל se comporta con otras letras hebreas como:
un receptor y direccionador de objetos de otras letras hebreas; ya que otras
letras pueden entregar lo que producen en la letra ל para que estos objetos sean utilizados por
otras letras.
Además, esta
letra ל se puede considera como un centro de medición; donde otras
letras pueden ver que les falta para llegar perfectos en las tareas que se les
imponga.
Si en esta
letra hebrea ל se restringe que elementos pueden
entrar en ellas, se restringe la creación y la posibilidad de llegar a la
perfección.
Ejemplo de
uso de esta letra ל.
Como un ejemplo de esta letra hebrea podemos
tener al cayado de un pastor trayendo a una oveja de su rebaño.
También
puede representar a un supermercado donde por un lado se recibe elementos de
los proveedores מ y por el otro lado se ofrece estos elementos para ser
utilizados de algún centro de producción o consumidor ד.
Esta letra hebrea ל cuando se aplica como una preposición puede ser traducida al español como:
“a, para, por, . . .” que estaría de acuerdo a la función que hace esta letra
hebrea ל.
Puede ser nuestro planeta tierra como un medio de observación de Dios, con
la finalidad de crear otros mundos que carezcan de nuestros defectos y
devilidades. Además, mientras más perfectos Dios nos haga para resolver
cualquier situación podrá crear mundos perfectos, para esto Dios tiene que
surtir al mundo con elementos o procesos que ayuden al mundo a salir de
situaciones dificiles.
22. La letra ד (Dalet / Daleth).
Función y
significado de la letra hebrea ד.
Centro de producción regulado: Actúa como un "laboratorio o centro de
producción" donde elementos recibidos (ל) se transforman en algo nuevo (צ, ץ, י),
siguiendo un diseño superior (א) que es controlado y operado
internamente por (ר) y que para crearlos utilizara las maquinas (ס) operada
por los trabajadores (ע); donde estos productos obedecen a estándares o leyes
preestablecidos externas (ך) que no causen daños (ת) a los consumidores (ה), sino que a
los consumidores los lleva a ser eficientes como (ח).
Símbolo de creación guiada: Desde fábricas hasta úteros, representa
sistemas que dependen de fuerzas externas para operar.
Que letras
tienen como hijas esta letra hebrea ד.
Esta letra tiene como hijas a las letras
hebreas siguientes: י, ץ, צ
Que letras
tienen como padre esta letra hebrea ד.
Esta letra tiene como padre a las letras
hebreas siguientes: ל, א, ע
Análisis de
la Forma de la letra hebrea ד.
·
Origen:
Si los objetos,
personas o ideas que ingresan a la letra hebrea ו tiene la
habilidad y capacidad para hacer una tarea, pero no decide utilizarse, sino
quiere que otros apliquen sus habilidades para hacer una tarea llegaría a hacer
las funciones de esta letra hebrea ד (Ejemplo: Centro de producción).
Nota
o En escritura fenicia/egipcia, se
simboliza con una mano, herramienta esencial para moldear o crear.
o
Téngase
presente que en hebreo a la palabra יד al inglés se
traduce como: “hand” es decir su traducción al español seria “mano” esto es
ovio ya que en el lenguaje egipcio a esta letra hebrea ד se representaba con una mano ![]()
o
Esta
letra hebrea ד
cuando va acompañada de las letras ל
y א,
de la siguiente manera אלד, se traduce del hebreo al inglés o al
español de la siguiente manera:
give birth to = tendré cría, daré a luz, pariré cría.
going to have += dirigiéndose para tener
·
Estructura:
1. Línea vertical derecha: Indica
lo que producirá el centro de producción.
2. Vértice superior derecho: Conexión
con el diseño divino (א) o instrucciones externas manipulados por trabajadores (ע) y
controladas internamente por ר y externamente controlado por las leyes
que vienen de ך.
3. Línea horizontal superior: Tareas que se tienen que realizar para
producir algo.
Utilización
de la letra hebrea ד.
Esta letra
hebrea ד,
cuando se está creando algo puede representar al laboratorio, fabrica o el
medio donde se procesa los elementos u objetos recibidos por ל con la debida
receta א.
la letra ד tiene un objetivo definido, pero es
manipulado por otros; para llegar al objetivo deseado.
Dependerá de
cómo se aplique estas tres letras hebreas א, ל y ד para crear algo, para obtener una de las
tres letras hebreas siguientes: צ, ץ o י y que serían hijos de ד.
Téngase en
cuenta también que las letras ל y ד pueden ser manipuladas por א o ע, con
la materia prima que viene de un mercado ל.
Comportamiento
de la letra ד
con las
demás letras hebreas.
Esta letra
hebrea ד al no tener ninguna concavidad nos indica que su
funcionamiento para llegar a algún resultado depende de otras letras hebreas.
Ejemplos de
uso de esta letra ד.
1.
Como
un ejemplo de cómo utilizar la estructura de una palabra hebrea y el
significado de una palabra, su forma y su uso y su genealogía de esta letra
hebrea ד,
podemos analizar la palabra hebrea siguiente: אדם.
Que el significado de esta palabra hebrea אדם
puede ser: Que el ser humano אדם por Jesús א vive, se mueve ד y sin él nada es ם;
7.
Otro
ejemplo, de esta letra hebrea ד, sería un centro de producción de zapatos,
donde: recibe materia prima que provienen de un merado (ל) se
transforman en algún zapato (צ, ץ, י), siguiendo un diseño superior (א) que
es controlado y operado internamente por (ר) y que para crearlos utilizara las
maquinas (ס) operada por los trabajadores (ע); donde estos productos obedecen a
estándares o leyes preestablecidos ך que no causen daños (ת) a los
consumidores (ה) sino que a los consumidores les lleva a ser eficientes como (ח).
23. La letra צ (Tsade / Tzadei / Tsadeh).
Significado
de la letra hebrea צ.
Esta letra
hebrea צ tiene como padre a la letra hebrea ד, que sirve
para crear algo. Por tanto, esta letra hebrea צ, es uno de los hijos que resulta de crear
algo y su significado se puede entender en la forma de la letra hebrea de esta
letra hebrea צ, que le explicaremos más adelante.
Que letras
tienen como padre esta letra hebrea צ.
Esta letra tiene como padre a las letras
hebreas siguientes: ד, א, ע
Análisis de
la Forma de la letra hebrea צ.
Por la forma
de esta letra hebrea צ nos indica lo siguiente:
1.
Línea vertical inclinada 45 grados hacia la
izquierda: Indica
la conectividad exitosa entre elementos, fundamentos y procesos; ya que esta
letra puede unir el inicio de una tarea que se le impone a un objeto con el fin
de la tarea en forma directa.
2.
Línea vertical inclinada 45 grados hacia la
derecha unida por debajo del medio de la línea de 45 grados hacia la izquierda
en la parte superior de esta letra hebrea צ: Indica que la línea de 45 grados hacia la
izquierda su ángulo no es fijo, sino que varía dependiendo de la influencia
de cómo influye esta la línea vertical inclinada 45 grados hacia la derecha.
Es decir, si la línea vertical inclinada 45
grados hacia la izquierda pierde su curvatura de 45 grados: se convertiría
esta letra hebrea צ en esta esta letra hebrea: ב, donde: La línea vertical inclinada 45
grados hacia la derecha pasara a dominar los procesos de esta letra צ
llegándole a convertir en esta letra hebrea ב. Es decir, la letra צ ha perdido la vida para llegar al objetivo
que le impone א, convirtiéndose en un ejemplo de lo que no se tiene que hacer.
Por tanto, la línea vertical inclinada 45
grados hacia la derecha unida por debajo del medio de la línea de 45 grados
hacia la izquierda en la parte superior de esta letra hebrea צ indica
procesos y elementos que influyen en los elementos, fundamentos y procesos de
esta letra hebrea צ y que impiden a esta letra hebrea a cumplir su tarea que le
impone א,
mientras menos se deje influenciar צ por esta línea vertical inclinada 45
grados hacia la derecha unida por debajo del medio de la línea de 45 grados
hacia la izquierda en la parte superior de esta letra hebrea צ llegara al resultado deseado que le impone א.
Esta es la razón de ser de la letra hebrea ע y es
impedir que se llegue al resultado deseado esta letra צ, esta letra hebrea ע puede conseguir su objetivo si la letra צ
permite en algún tiempo de su vida influya en ella, causándole que esta letra
hebra צ
pierda la razón por lo que fue creado y se convierta tan solo en un ejemplo
para la humanidad de lo que no hay que hacer ב; ya que ha perdido la vida.
En consecuencia, si la letra ע no influencia
en la letra צ, entonces llegaría צ a unirá lo divino
cielo con la tierra en forma perfecta lo más pronto posible, esta es la razón
de la existencia del hombre desde que nace, eliminar la conexión completamente
con ע
para que se pueda expandir el universo y el universo no se contagie de ע.
3.
La concavidad de la letra hacia arriba: Indica que la letra צ tiene autonomía propia controlada por
otras letras como: א o ע.
4.
La letra horizontal unida al vértice de la
línea inclinada 45 grados:
Puede representar que a los elementos, fundamentos o procesos de esta letra
hebrea צ
que su creador le ha dotado: para que pueda llegar a la tarea que nos impone א.
Si צ pudiera unir esta línea horizontal en todo
tiempo para que la línea vertical inclinada 45 grados hacia la izquierda
cumpla su objetivo bajo cualquier circunstancia, llegara a convertirse en
hijo de א.
Utilización
de la letra hebrea צ.
Esta letra
hebrea צ se puede utilizar como un elemento creado que tiene vida
para tomar decisiones propias; ya que tiene pensamiento y los elementos
necesarios para decidir que camino decide en su vida.
Este hijo creado, tiene la característica que
su comportamiento afectar al entorno que lo rodea y ser afectado por dicho
entorno; ya que tiene vida propia.
Comportamiento
de la letra צ con las demás
letras hebreas.
Esta letra hebrea al tener vida por sí mismo
puede decidir que letras en su vida desea utilizar para llegar a los objetivos
que se le impone א o ע dependiendo hacia donde se incline צ.
Ejemplo de
uso de esta letra צ.
Como un ejemplo
de esta letra hebrea צ podemos decir que representa a un niño que
de acuerdo como se deje influenciar; ya sea por lo positivo o negativo y el
entorno que le rodea, llegara a realizar la tarea que le imponen otras
personas.
24. La letra ץ (tsade).
Significado de la
letra hebrea ץ.
Esta letra
hebrea ץ
tiene como padre a la letra hebrea ד, que sirve para crear algo. Por tanto,
esta letra hebrea ץ, es uno de los hijos que resulta de crear algo y su significado
se puede entender en la forma de la letra hebrea de esta letra ץ, que le
explicaremos más adelante.
Que letras
tienen como padre esta letra hebrea ץ.
Esta letra hebrea ץ tiene como padre a las letras hebreas
siguientes: ד, א, ע
Análisis de la
Forma de la letra hebrea ץ.
Por la forma
de esta letra hebrea ץ nos indica lo siguiente:
1.
Línea Vertical: Indica que este elemento ץ tiene una
conectividad exitosa entre elementos, fundamentos y procesos que pueden servir
a otros elementos o procedimientos de otras leyes hebreas.
2.
Línea vertical inclinado hacia la izquierda
unida a la línea vertical en su vértice superior: Indica que los elementos y procesos han sido
creados para cumplir con tareas específicas que le impone su creador.
3.
Línea vertical inclinado hacia la derecha
unida a la línea vertical en su vértice superior: Indica que ץ sus elementos,
fundamentos y procesos desde que nace esta influenciado para que no cumpla este
objetivo.
Cuando esta letra hebrea ץ no se deja
influenciar por la Línea vertical inclinado hacia la derecha unida a la línea
vertical en su vértice superior puede llegar a convertirse en esta letra hebrea
ן.
Cuando esta letra hebrea ץ se deja
influenciar por la Línea vertical inclinado hacia la derecha unida a la línea
vertical en su vértice superior puede llegar a convertirse en la letra ז.
4. La concavidad de la letra hacia
arriba: Indica que
la letra ץ tiene autonomía propia controlada por otras letras como א o ע.
Utilización
de la letra hebrea ץ.
Esta letra
hebrea ץ se puede utilizar como un elemento creado que se ha
creado, que no tiene vida propia y su uso esta
limitado por la fuente de vida que le da su creador.
Comportamiento
de la letra ץ con las demás
letras hebreas.
Esta letra hebrea ץ al no tener vida por sí mismo sino
controlada por otros, no puede decidir que letras hebreas en su vida desea
utilizar para llegar a los objetivos que se le impone א o ע.
Por tanto,
esta letra hebrea ץ está sujeta a que otras letras hebreas la utilicen para llegar
a un resultado donde este resultado no necesariamente puede ser el de ץ.
Ejemplo de
uso de esta letra ץ.
Como un
ejemplo de esta letra hebrea ץ podemos decir que representa un robot,
computador, una semilla, el mundo que son creados, pero dependen su uso de que
otros lo utilicen y como le utilizan.
Significado de la letra hebrea י.
·
"Oveja
negra" de la creación: Resultado
defectuoso o incompleto de un proceso creativo (ד), carente de fundamentos sólidos o
dirección clara.
o Ejemplos: Objeto
dañado, comunicación artificial, prototipo fallido.
·
Potencial
de transformación: Aunque inicialmente inútil, puede
ser reingenierizado (ז + ד) para convertirse en cualquier letra del
alfabeto.
Que letras tienen como padre esta letra hebrea
י.
Esta letra
hebrea י tiene como padre a las letras hebreas siguientes: ד, א, ע.
Análisis de la Forma de la letra hebrea י.
·
Origen:
a. Deriva de ד (Dalet),
pero carece de líneas base o vértices definidos, reflejando su
naturaleza incompleta.
Esto puede suceder cuando los objetos,
personas o ideas que ingresan a la letra hebrea ו tiene la
habilidad y capacidad, pero no tiene estructura para hacer una tarea llegaría a
hacer las funciones de esta letra hebrea י.
b. Su forma de punto o línea
pequeña sugiere un "vértice suelto" que busca unirse a otros
elementos para adquirir significado.
Utilización de la letra hebrea י.
Esta letra hebrea י se puede dar el usar
como la comunicación entre procesos y elementos como ocurre en esta letra
hebrea ר.
También si se aplica a esta
letra hebrea י a la reingeniería esta letra puede llegar a representar
cualquier letra.
Si se convierte en basura
puede servir de abono para otras letras al descomponerse totalmente.
Comportamiento de la letra י con las demás letras
hebreas.
Esta letra es semilla de otras letras, también
puede servir para controlar la unión de cómo se une una los elementos y
procesos en una letra.
Ejemplo de uso de esta letra hebrea י.
Esta letra hebrea puede representar la
comunicación que se a obtenido en un laboratorio para
unir los procesos y elementos de algo.
Como un ejemplo de esta letra hebrea י
podemos decir, que representa a un objeto que salió dañado cuando se le estaba
creando.
En gramática esta letra hebrea י puede
representar a un tiempo no definido o a una letra cualquiera que puede tomar la
posición de esta letra י en la palabra, para formar otra palabra.
26. La letra ז (Zain / Zayin).
Significado de la
letra hebrea ז.
·
Conector
dual: Actúa
como interruptor o enrutador, direccionando energía, información
o influencias entre objetos.
·
Inclinación
contextual: Su función depende
de fuerzas externas:
o Positiva (א): Conecta hacia la armonía o creación.
o Negativa (ע): Desvía hacia el caos o corrupción.
·
Símbolo
de elección: Representa
decisiones humanas entre el bien y el mal.
Que letras
tienen como padre esta letra hebrea ז.
Esta letra hebrea ז es hija de la letra
hebrea: א,
ע,
נ,
ן.
Análisis de
la Forma de la letra hebrea ז.
·
Origen:
o
Deriva
de ד (Dalet) cuando su "centro de producción"
(movimiento o creación) carece de propósito definido.
La línea horizontal
superior en ז sugiere un punto de pivote que permite la
inclinación hacia un lado u otro, su inclinación dependerá como influya א y ע en la
decisión final y también que ha heredado de sus padres נ, ן.
·
Estructura:
1.
Línea
vertical: Base del
objeto o sistema.
2.
Línea
diagonal y horizontal: Mecanismo
de conexión o giro (ejemplo: interruptor que abre/cierra circuitos).
Utilización
de la letra hebrea ז.
·
La
ז
es un puente direccional: su valor radica en su capacidad
para canalizar fuerzas opuestas sin fusionarse con ellas.
·
Su
forma refleja dualidad: la línea diagonal sugiere movimiento, pero
la horizontal frena, creando tensión entre acción y pausa.
Uso en
Combinaciones con otras letras hebreas:
Ejemplo
1: ז + א (Alef)
·
ז (Zayin): Interruptor eléctrico.
·
א (Alef): Corriente positiva (energía pura).
·
Combinación:
o ז +
א = "Conexión que
activa un flujo energético benéfico" (ejemplo: luz que ilumina un hogar).
Ejemplo
2: ז + ע (Ayin)
·
ז (Zayin): Router de datos.
·
ע (Ayin): Interferencia o manipulación.
·
Combinación:
o ז +
ע = "Canalización de
información corrupta o sesgada" (ejemplo: hackeo de una red).
Comportamiento
de la letra ז con las demás
letras hebreas.
Esta letra
hebrea ז,
permite o trunca el paso de elementos, fundamentos o procedimientos de una
letra a otra letra dependiendo si se inclina la letra hebrea ז hacia: א, ע.
La velocidad
de respuesta está determinada por la letra נ.
La política
de transferencia de elementos o procedimientos a otras letras hebreas estará
determinada por ן.
Ejemplo de
uso de esta letra ז.
1. Interruptor eléctrico:
o ז: Conecta o
desconecta el flujo entre א (polo positivo) y ע (polo negativo).
o Resultado: Luz (א) o oscuridad (ת).
2. Toma de decisiones morales:
o ז: Un juez (ד) que decide
entre absolver (א) o condenar (ע).
3. Red social:
o ז
como
algoritmo: Dirige información hacia contenidos constructivos (א) o
manipuladores (ע).
27. La letra ג (Ghimel / Guimel / Gimel).
Significado
de la letra hebrea ג.
Esta letra puede significar a las
tareas que hace el 911, también puede representar dar apoyo a alguien.
Que letras
tienen como padre esta letra hebrea ג.
Esta letra hebrea ג tiene como
padre a la letra hebrea siguiente: ל, ם, מ, ה.
Análisis de
la Forma de la letra hebrea ג.
Esta letra
tiene se origina de la letra נ, donde el vértice se separa de la letra נ para dar asistencia a los elementos, por
la cual se une al medio de la letra hebrea נ formando la letra ג.
Utilización
de la letra hebrea ג.
Esta letra se puede utilizar para
prestar apoyo a cualquier otra letra hebrea que lo necesite.
Ejemplo de
uso de esta letra hebrea ג.
Como ejemplo de esta letra hebrea hoy en la
actualidad sería una ambulancia acudiendo una emergencia.
Notas:

